当皮肤接受过多的紫外线照射后,皮肤组织细胞会产生氧化应激,产生过量的活性氧簇(ROS),ROS能够破坏细胞膜的完整性和细胞内的抗氧化系统,进而引起细胞炎症、细胞凋亡及肿瘤的形成;同时过量的紫外线照射会使皮肤胶原、透明质酸、弹性蛋白降解,导致皮肤弹性变低、粗糙、形成皱纹。

为了对抗外界环境及内在产生的氧化压力,人体形成了完善的初级抗氧化防御系统,其包括多种酶抗氧化剂和非酶抗氧化剂。酶抗氧化剂的作用是使活性氧中间产物失活;非酶抗氧化剂则是清除过剩的自由基,抗氧化剂提供一个电子给含有不配对电子而高度活泼的氧自由基,使之形成具有稳态结构的分子而失去其高度化学活性和攻击性,且自身不会形成有害物质。

一、酶抗氧化剂
1、超氧化物歧化酶SOD

2、过氧化氢酶CAT
CAT能迅速分解细胞代谢过程中产生的物质H₂O₂,并且可以与SOD相互作用,将SOD催化生成的破坏力极强的H₂O₂进一步分解为无毒害的O₂和H₂O,使得H₂O₂不会与O₂在铁螯合物作用下生成有害的羟基自由基。
3、谷胱甘肽过氧化物酶GSH-Px
GSH-Px通过催化GSH(还原型谷胱甘肽)与过氧化物反应变为GSSG(氧化型谷胱甘肽),将对机体有害的过氧化物还原成无毒的醇类,同时使H₂O₂分解为H₂O和O₂,以减轻或消除过氧化物对细胞造成的损伤。

4、谷胱甘肽还原酶GR
在氧化型谷胱甘肽转化为还原型谷胱甘肽的过程中起着催化作用,从而维持细胞中2种谷胱甘肽的动态平衡。

二、非酶抗氧化剂
1、维生素C
维生素C是人体的必需维生素之一,呈水溶性,又名抗坏血酸,是含有内酯的己糖多元醇类。由于它具有两个活泼羟基,很容易脱氢氧化为二酮结构,因此具有极强的抗氧化性。

人类由于缺乏VC生物合成最后一步反应的关键酶—L-古洛糖酸-1,4-内酯氧化酶( GLO), 因而必须从食物中摄取维生素C。
2、维生素E
又称生育酚,是人体的必需维生素之一,呈脂溶性。维生素E结构中由6-羟基-色满环和一个植醇支链共同发挥抗自由基作用,同时维生素E还可以直接清除单线态氧,保护维生素C不被氧化,二者协同作用,具有更好的抗氧化效果。
维生素E存在8种主要形式(α、β、γ、δ生育酚和α、β、γ、δ生育三烯酚),其中α-生育酚是自然界中分布最广泛含量最丰富活性最高的维生素E形式。

3、辅酶Q10
又称泛醌,有氧化型和还原型2种存在状态,发挥抗氧化作用的是还原型 Q10,其可以直接清除自由基,从而发挥抗氧化作用。辅酶Q10可以帮助维生素E转换成稳定状态,协同发挥抗氧化作用。

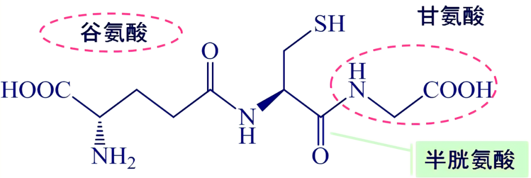
4、谷胱甘肽GSH
谷胱甘肽(Glutathione,GSH)是一种由L-半胱氨酸、γ-L-谷氨酸和甘氨酸通过肽键缩合而成的三肽化合物,具有γ-谷氨酰基和巯基两种活性基团。谷胱甘肽的巯基(-SH)能被氧化成-S-S-键,从而在蛋白质分子中生成交联的二硫键,-S-S-键也易经还原转化为巯基,表现了巯基键氧化和还原的可逆性。两种构型中以还原型的作用更大,还原型的谷胱甘肽可使生物酶中的-S-S-键还原成-SH,从而恢复或提高它们的活性。

5、类胡萝卜素
通常指含40碳的碳氢化合物(胡萝卜素)及其衍生物(叶黄素)两大类色素的总称。类胡萝卜素可以通过电子转移的方式来清除自由基也可以通过阻断脂质氧化的链式反应两种途径发挥抗氧化作用。此外,类胡萝卜素还可以与自由基发生加成反应,形成类胡萝卜素加合自由基。
6、硫氧还蛋白Trx
是一种广泛存在于生物体内的氧化还原蛋白,与硫氧还蛋白还原酶TrxR、还原型辅酶II(NADPH)和硫氧还蛋白过氧化物酶TrxP一起构成硫氧还蛋白系统。
7、金属硫蛋白MT
是一种广泛存在于生物体内富含巯基和半胱氨酸的热稳定性低分子量蛋白质,在机体抗氧化方面有显著作用。
研究显示,MT的抗氧化性能优于SOD、CAT、GSH-Px,并且在MT发挥抗氧化作用的同时会促进抗氧化酶的活化和基因表达,使抗氧化酶解除氧自由基的抑制从而更好地发挥抗氧化作用。
8、铜蓝蛋白CP
又名铜氧化酶,是一种含铜蛋白质,具有清除自由基以及参与其他抗氧化过程的作用。
9、硒
硒(Se)是人体必需的微量元素,具有很强的抗氧化性,它可以保护细胞膜和线粒体免受氧化损伤。

