中文名称:国家市场监督管理总局 国家卫生健康委员会 国家中医药管理局关于发布辅酶Q10等五种保健食品原料目录的公告
英文名称:Health Food Raw Material Directory of Coenzyme Q10, Melatonin, Fish oil, Broken Ganoderma lucidum spore powder and Spirulina
发布时间:2020/12/01
实施时间:2021/03/01
发布单位:国家市场监督管理总局 国家卫生健康委员会 国家中医药管理局
国家市场监督管理总局 国家卫生健康委员会 国家中医药管理局关于发布辅酶Q10等五种保健食品原料目录的公告
根据《中华人民共和国食品安全法》《保健食品原料目录与保健功能目录管理办法》等规定,国家市场监督管理总局会同国家卫生健康委员会、国家中医药管理局制定了辅酶Q10等五种保健食品原料目录,现予发布,自2021年3月1日起施行。
附件:1.《保健食品原料目录 辅酶Q10》
2.《保健食品原料目录 破壁灵芝孢子粉》
3.《保健食品原料目录 螺旋藻》
4.《保健食品原料目录 鱼油》
5.《保健食品原料目录 褪黑素》
市场监管总局 卫生健康委
中医药局
2020年11月23日
附件1
《保健食品原料目录 辅酶Q10》
原料名称 | 每日用量 | 功效 | |||
名称 | 用量范围 | 适宜人群 | 不适宜人群 | 注意事项 | |
辅酶Q10 | 30-50mg | 成人 | 少年儿童、孕妇、乳母、过敏体质人群 | 服用治疗药物的人群食用本品时应向医生咨询 | 增强免疫力 抗氧化 |
辅酶Q10原料技术要求
【来源】
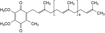
辅酶Q10原料来源于微生物(酵母菌或类球红细菌)经发酵、提取、精制;或动物心脏经提取、精制;或茄尼醇经合成、精制等过程制得。化合物名称为2-[(全-E)-3,7,11,15,19,23,27,31,35,39-十甲基-2,6,10,14,18,22,26,30,34,38-四十癸烯基]-5,6-二甲氧基 -3-甲基-p-苯醌,分子式为C59H90O4。结构式如下:

【感官要求】
应符合表1规定。
表1 感官指标
项目 | 要求 |
色泽 | 黄色至橙黄色 |
滋味、气味 | 无臭无味 |
状态 | 结晶性粉末 |
【鉴别】
1. 取含量测定项下的供试品溶液,加硼氢化钠50mg,摇匀,溶液黄色消失。
2. 在含量测定项下记录的色谱图中,供试品溶液主峰的保留时间应与对照品溶液主峰的保留时间一致。
3. 本品的红外光吸收图谱应与对照的图谱(光谱集1046图)一致。
【理化指标】
应符合表2规定。
表2 理化指标
项目 | 指标 | 检验方法 |
有关物质, 单个杂质,% ≤ | 0.5 | 1 有关物质的测定 |
总杂质,% ≤ | 1.0 | |
顺式异构体,% ≤ | 0.5 | 2 顺式异构体的测定 |
炽灼残渣,% ≤ | 0.1 | 3 炽灼残渣的测定 |
铅(以Pb计),mg/kg ≤ | 2.0 | GB 5009.12 |
总砷(以As计),mg/kg ≤ | 1.0 | GB 5009.11 |
总汞(以Hg计),mg/kg ≤ | 0.3 | GB 5009.17 |
1 有关物质的测定
1.1试剂和材料
1.1.1 甲醇:色谱纯
1.1.2 无水乙醇:色谱纯
1.1.3辅酶Q10和辅酶Q9对照品
1.2仪器和设备
1.2.1 电子天平
1.2.2 水浴锅
1.2.3 高效液相色谱仪
1.3供试品溶液的制备
避光操作。精密称取辅酶Q10原料约20mg,加无水乙醇40mL,在50℃水浴中振摇溶解,放冷后,移至100mL量瓶中,用无水乙醇稀释定容至刻度,摇匀,制成每1 mL中约含0.2mg的溶液,作为供试品溶液。
1.4对照溶液的制备
避光操作。精密量取供试品溶液1mL,置100mL量瓶中,用无水乙醇稀释定容至刻度,摇匀,制成每1 mL中约含2μg的溶液,作为对照溶液。
1.5 系统适用性溶液的制备
避光操作。精密称取辅酶Q10对照品和辅酶Q9对照品适量,用无水乙醇溶解并稀释制成每1 mL中各约含0.2mg的混合溶液,作为系统适用性溶液。
1.6灵敏度溶液的制备
避光操作。精密量取对照溶液1mL,置20mL量瓶中,用无水乙醇稀释定容至刻度,摇匀,制成每1mL中约含0.1μg的溶液,作为灵敏度溶液。
1.7测定
色谱条件:用十八烷基硅烷键合硅胶为填充剂;流动相:甲醇-无水乙醇(1:1);柱温:35℃;检测波长:275nm;进样量:20μL。
系统适用性要求:取系统适用性溶液注入高效液相色谱仪,记录色谱图。辅酶Q9峰和辅酶Q10峰之间的分离度应大于6.5,理论板数按辅酶Q10峰计算不低于3000。
灵敏度要求:取灵敏度溶液注入高效液相色谱仪,记录色谱图。主成分色谱峰高的信噪比不小于10。
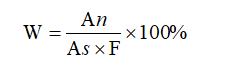
将上述溶液依次注入高效液相色谱仪,记录色谱图至主成分峰保留时间的2倍。分别测量灵敏度溶液、对照溶液色谱图中的主峰面积和供试品溶液色谱图中所有峰的面积。供试品溶液色谱图中小于灵敏度溶液主峰面积的峰忽略不计。供试品溶液色谱图中如有杂质峰,单个杂质峰面积不得大于对照溶液主峰面积的0.5倍(0.5%),各杂质峰面积的和不得大于对照溶液的主峰面积(1.0%)。
1.8结果计算
1.8.1单个杂质的含量计算:

式中:
W:单个杂质的含量,%;
Au:供试品溶液中(除去主峰)单个杂质的峰面积;
As:对照溶液的主峰面积;
F:稀释倍数为100。
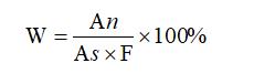
1.8.2总杂质的含量计算:

式中:
W:总杂质的含量,%;
An:供试品溶液中(除去主峰)各杂质峰面积的和;
As:对照溶液的主峰面积;
F:稀释倍数为100。
2 顺式异构体的测定
2.1 试剂和材料
2.1.1 30%过氧化氢溶液:分析纯
2.1.2 正己烷:色谱纯
2.1.3 乙酸乙酯:色谱纯
2.2仪器和设备
2.2.1 电子天平
2.2.2 光照箱
2.2.3 高效液相色谱仪
2.3 供试品溶液的制备
避光操作,临用新制。精密称取辅酶Q10原料,加正己烷溶解并稀释制成每1mL中约含1mg的溶液,摇匀,作为供试品溶液。
2.4 对照溶液的制备
避光操作,临用新制。精密量取供试品溶液1mL置200mL量瓶中,用正己烷稀释制成每1mL中约含5μg的溶液,摇匀,作为对照溶液。
2.5 系统适用性溶液的制备
避光操作,临用新制。精密称取辅酶Q10原料约10mg,加正己烷溶解并稀释制成每1mL中约含1mg的溶液,加入30%过氧化氢溶液2μL,置光照箱(温度30℃,LX2000)下放置4小时,摇匀,作为系统适用性溶液。
2.6 测定
色谱条件:用硅胶为填充剂;色谱柱规格:4.6mm×250mm,5μm;流动相:正己烷-乙酸乙酯(97:3)。检测波长:275nm;流速:2.0mL/min;进样量:20μL。
系统适应性要求:取系统适用性溶液注入高效液相色谱仪,记录色谱图。辅酶Q10峰的保留时间约为10分钟,色谱图中相对主峰保留时间约为0.9的色谱峰为顺式异构体峰,顺式异构体峰与辅酶Q10峰之间的分离度应大于1.5。
将上述对照溶液和供试品溶液依次注入高效液相色谱仪,记录色谱图。分别测量对照溶液的主峰面积和供试品溶液色谱图中顺式异构体的峰面积。供试品溶液色谱图中如有与顺式异构体保留时间一致的色谱峰,其峰面积不得大于对照溶液的主峰面积(0.5%)。
2.7 结果计算
顺式异构体的含量计算:

式中:
W:顺式异构体的含量,%;
An:供试品溶液中顺式异构体的峰面积;
As:对照溶液的主峰面积;
F:稀释倍数为200。
3 炽灼残渣的测定
称取辅酶Q10原料约1.0g,置已炽灼至恒重的坩埚中,精密称定,缓缓炽灼至完全炭化,放冷后,加硫酸0.5〜1mL使湿润,低温加热至硫酸蒸气除尽后,在700〜800℃炽灼使完全灰化,移置干燥器内,放冷,精密称定后,再在700〜800℃炽灼至恒重,即得。
【微生物指标】
应符合表3规定。
表3 微生物指标
项目 | 指标 | 检验方法 |
菌落总数,CFU/g ≤ | 30000 | GB 4789.2 |
霉菌和酵母,CFU/g ≤ | 50 | GB 4789.15 |
大肠菌群,MPN/g ≤ | 0.92 | GB 4789.3 MPN计数法 |
沙门氏菌 ≤ | 0/25g | GB 4789.4 |
金黄色葡萄球菌 ≤ | 0/25g | GB 4789.10 |
【标志性成分指标】
应符合表4规定。
表4 标志性成分指标
项目 | 指标 | 检验方法 |
辅酶Q10,% | 98.0-101.0 | 4辅酶Q10的含量测定 |
4辅酶Q10的含量测定
4.1试剂和材料
4.1.1辅酶Q10和辅酶Q9对照品
4.1.2 甲醇:色谱纯
4.1.3 无水乙醇:色谱纯
4.2仪器和设备
4.2.1 电子天平
4.2.2 水浴锅
4.2.3 高效液相色谱仪
4.3 供试品溶液的制备
同有关物质测定项下。
4.4 对照品溶液的制备
避光操作。精密称取辅酶Q10对照品约20mg,加无水乙醇40mL,在50℃水浴中振摇溶解,放冷后,移至100mL量瓶中,用无水乙醇稀释定容至刻度,摇匀,制成每1 mL中约含0.2mg的溶液,作为对照品溶液。
4.5 测定
色谱条件和系统适用性要求同有关物质测定项下。
将上述对照品溶液和供试品溶液依次注入高效液相色谱仪,记录色谱图。按外标法以峰面积计算。
4.6 结果计算
辅酶Q10含量计算:

式中:
W:辅酶Q10含量,%;
Au:供试品溶液的峰面积;
As:对照品溶液的峰面积;
m:供试品溶液的称样量(mg);
V:供试品溶液的定容体积(mL);
Cs:对照品溶液的浓度(mg/mL)。
4.7 精密度
在重复性条件下获得的两次独立测定结果的绝对差值不得超过算数平均值的2%。
【储存】遮光、密封,在阴凉处保存。
【产品的剂型】片剂、颗粒剂、硬胶囊、软胶囊
——————————
附件2
《保健食品原料目录 破壁灵芝孢子粉》
原料名称 | 每日用量 | 功效 | |||
名称 | 用量范围 | 适宜人群 | 不适宜人群 | 注意事项 | |
破壁灵芝孢子粉 | 1-4g | 免疫力低下者 | 少年儿童、孕妇及乳母 | 增强免疫力 | |
破壁灵芝孢子粉原料技术要求
【来源】
破壁灵芝孢子粉为多孔菌科真菌赤芝(Ganoderma lucidum (Leyss. ex Fr.) Karst.)、紫芝(Ganoderma sinense Zhao, Xu et Zhang)、松杉灵芝(Ganoderma tsugae)的干燥成熟孢子,经灭菌(辐照灭菌和湿热灭菌等灭菌方法),干燥,低温物理破壁,过筛制得。
【感官要求】
应符合表1规定。
表1 感官指标
项目 | 要求 |
色泽 | 棕褐色 |
滋味、气味 | 气微,味淡或微苦 |
状态 | 无结块,干燥疏松细腻粉末,无粘连,无沙粒感,无正常视力可见外来异物 |
【鉴别】
显微鉴别:粉末棕褐色,置显微镜下观察,孢壁多破碎,可见多数黄褐色的大小不等的微粒、孢子破碎程度不同的壳段或孢子破碎后里面的黄色至黄褐色的内容物,少见有未破壁的孢子,不得检出子实体、菌丝、淀粉粒等异物。
【理化指标】
应符合表2规定。
表2 理化指标
项目 | 指标 | 检验方法 |
破壁率% ≥ | 95 | 1 破壁率的测定 |
水分,% ≤ | 9.0 | GB 5009.3 |
总灰分,% ≤ | 3.0 | GB 5009.4 |
铅 (以Pb计), mg/kg ≤ | 2.0 | GB5009.12 |
砷 (以As计), mg/kg ≤ | 1 | GB/T 5009.11 |
汞 (以Hg计), mg/kg ≤ | 0.1 | GB/T 5009.17 |
镉 (以Cd计),mg/kg ≤ | 0.5 | GB5009.15 |
镍 (以Ni计), mg/kg ≤ | 1.0 | GB/T 5009.138 |
铬 (以Cr计), mg/kg ≤ | 2.0 | GB/T 5009.123 |
过氧化值(以灵芝孢子油计),g/100g ≤ | 0.20 | GB5009.227 |
1 破壁率的测定
1.1 仪器与设备
1.1.1 血球计数板:25个中格×16个小格或16个中格×25个小格。
1.1.2 电子分析天平:精度0.1 mg。
1.1.3 超声波清洗器:功率≥45 W。
1.1.4 光学显微镜:放大倍数≥200。
1.1.5 烘箱。
1.2 试剂和溶液
除非另有规定,本方法中所用试剂均为分析纯。
1.2.1 实验用水应符合GB/T6682规定的三级水规格。
1.2.2 吐温80。
1.2.3 蔗糖。
1.3 样品制备
分别取同一批次有代表性灵芝孢子粉和破壁灵芝孢子粉的样品各至少100 g,分别充分混匀,置于密闭的容器内。
1.4 分析步骤
1.4.1 取适量同一批次的灵芝孢子粉A和破壁灵芝孢子粉B,于烘箱60℃下烘干5 h。
1.4.2 准确称取经烘干的孢子粉A和破壁灵芝孢子粉B,其中mA=0.1000 g,mB=0.1500 g。
1.4.3 分别称取5.0 g经过研磨后过100目筛的蔗糖粉末,分别与孢子粉A、B充分混合至色泽均一。用蒸馏水分别溶解上述样品,在样品溶液中加0.1 mL吐温80,用蒸馏水定容到100 mL的容量瓶中,并在室温超声震荡30 min,使孢子充分分散。
1.4.4 将待测孢子悬液,用吸管吸取一滴置于盖玻片的边缘,使液体缓缓渗入,多余的液体用吸水纸吸取,进样完成后静置约30 s,然后将血球计数板置于200倍及以上放大倍数的光学显微镜下进行观察计数。
1.4.5 使用25个中格×16个小格的计数板时,应计算出血球计数板4个角上与中央5个中格中含完整灵芝孢子的数目(即以80个小格为一个计数单位);当使用16个中格×25个小格的计数板时,应计算出血球计数板4个角上的4个中格中含完整灵芝孢子的数目(即以100个小格为一个计数单位)。如有部分孢子处于中格边线上,计数时应该仅统计位于中格四个边线的其中两个边线的孢子数,每个样品观察计数时应去掉离群较大的值,每个样品有效观察计数不少于3次,然后计算它们的平均数n。
1.5 结果计算
1.5.1 使用25个中格×16个小格的计数板时,每克孢子粉中含完整灵芝孢子数按式(1.1)计算:

式中:
N——每克孢子粉含完整的灵芝孢子数,单位为个每克(个/g);
n——80个小方格内含完整灵芝孢子的总数,单位为个;
V——孢子稀释液的体积,单位为毫升(mL);
m——样品的质量,单位为克(g);
400——血球计数板的计数室内共有400个小方格;
10000——血球计数板计数室的容积为0.1mm3,1mL相当于10000个血球计数板计数室的容积。
1.5.2 使用16个中格×25个小格的计数板时,每克孢子粉中含完整灵芝孢子数按式(1.2)计算:

式中:
N——每克孢子粉含完整的灵芝孢子数,单位为个每克(个/g);
n——100个小方格内含完整灵芝孢子的总数,单位为个;
V——孢子稀释液的体积,单位为毫升(mL);
m——样品的质量,单位为克(g);
400——血球计数板的计数室内共有400个小方格;
10000——血球计数板计数室的容积为0.1 mm3,1 mL相当于10000个血球计数板计数室的容积。
1.5.3 破壁率按式(1.3)计算:

式中:
X——破壁灵芝孢子粉的破壁率,%;
NB——每克破壁灵芝孢子粉中含完整的灵芝孢子数,单位为个每克(个/g);
NA——每克灵芝孢子粉中含完整的灵芝孢子数,单位为个每克(个/g)。
【微生物指标】
应符合表3规定。
表3 微生物指标
项目 | 指标 | 检验方法 |
菌落总数,CFU/g ≤ | 30000 | GB 4789.2 |
霉菌和酵母,CFU/g ≤ | 50 | GB 4789.15 |
大肠菌群,MPN/g ≤ | 0.92 | GB 4789.3 MPN计数法 |
沙门氏菌 ≤ | 0/25g | GB 4789.4 |
金黄色葡萄球菌 ≤ | 0/25g | GB 4789.10 |
【标志性成分指标】
应符合表4规定。
表4标志性成分指标
项目 | 指标 | 检验方法 |
多糖,% ≥ | 0.9(以无水葡萄糖(C6H12O6)计) | 2 多糖的测定 |
2 多糖的测定
2.1试剂和材料
2.1.1硫酸(分析纯)
2.1.2葡萄糖(分析纯)
2.1.3无水乙醇(分析纯)
2.1.4硫酸蒽酮溶液:精密称取蒽酮0.1 g,加硫酸溶液100 mL使溶解,摇匀,置于棕色瓶中即得。
2.2 仪器和设备
2.2.1分析天平(感量0.0001g)
2.2.2分光光度计
2.2.3玻璃回流装置
2.2.4电热恒温水浴锅
2.2.5容量瓶25 mL,50 mL容量瓶
2.2.6各规格移液管
2.2.7具塞试管25 mL
2.2.8滤纸(中速定性滤纸)。
2.3标准曲线的制备
2.3.1对照品溶液的制备
取无水葡萄糖对照品适量,精密称定加水制成每1 mL含0.12 mg的溶液,即得。
2.3.2 标准曲线绘制
精密量取对照品溶液0.2、0.4、0.6、0.8、1.0、1.2 mL,分别置于10 mL的具塞试管中,各加水至2.0 mL,迅速精密加入硫酸蒽酮溶液6 mL,立即摇匀,放置15 min,立即置冰水浴中冷却15 min,取出,以相应的试剂为空白,在625 nm处测定吸光度,以吸光度为纵坐标,绘制标准曲线。
标准曲线图

2.4供试品溶液的制备
取本品粉末约2 g,精密称定,置圆底烧瓶中,加水60 mL,静置1h,加热回流4 h,趁热过滤,用少量热水洗涤滤器和滤渣,将滤纸和滤渣置圆底烧瓶中,加水60 mL,加热回流3 h,趁热过滤,合并滤液,置水浴锅上蒸干,残渣用水5 mL溶解,边搅拌边缓慢加入乙醇75 mL,摇匀,在4℃放置12 h,离心,弃去上清液,沉淀物用热水溶解并转移至50 mL,放冷,加水至刻度,摇匀取溶液适量,离心,精密量取上清液3 mL,置25 mL量瓶,加水至刻度,摇匀,即得。
2.5测定
精密量取供试品溶液2 mL,置10 mL具塞试管中,照标准曲线制备项下的方法,自“迅速精密加入硫酸蒽酮溶液6 mL”起,同法操作,测定吸光度,从标准曲线上读出供试品溶液中无水葡萄糖的含量,计算即得。
2.6结果计算

式中:
W-多糖的含量,%;
c-从标准曲线上查的样品的多糖浓度,mg/mL;
m-样品质量,mg;
-表示稀释倍数。
50-水提醇沉后获得的沉淀物经热水溶解定容的体积数值
【储存】遮阴、密闭、阴凉处。
【产品的剂型】片剂、颗粒剂、硬胶囊、粉剂
——————————
附件3
《保健食品原料目录 螺旋藻》
原料名称 | 每日用量 | 功效 | |||
名称 | 用量范围 | 适宜人群 | 不适宜人群 | 注意事项 | |
螺旋藻 | 3-4g | 免疫力低下者 | 婴幼儿、孕妇及乳母、过敏体质人群 | 增强免疫力 | |
螺旋藻原料技术要求
【来源】
螺旋藻为钝顶螺旋藻(Arthrospira platensis)和极大螺旋藻(Arthrospira maxima)经人工培养、采收、清洗的藻泥,经过喷雾干燥,或者其他干燥方法并经杀菌获得的干粉。
【感官要求】
应符合表1规定。
表1 感官指标
项目 | 要求 |
色泽 | 蓝绿色至墨绿色 |
滋味、气味 | 无异味,略带藻腥味 |
状态 | 均匀干燥疏松粉末,无结块,无正常视力可见外来杂质 |
【鉴别】
取少量样品于水中,充分震荡搅拌使藻粉颗粒分散,显微镜视野中应呈分散、绿色的S形、L形、C形或螺旋形的藻丝体,不得有明显异物。
【理化指标】
应符合表2规定。
表2 理化指标
项目 | 指标 | 检验方法 |
水分,% ≤ | 7.0 | GB 5009.3第一法 |
总灰分,% ≤ | 7.0 | GB 5009.4 |
蛋白质,% ≥ | 55.0 | GB 5009.5 |
铅(以Pb计), mg/kg ≤ | 2.0 | GB 5009.12 |
砷(以As计), mg/kg ≤ | 1.0 | GB 5009.11 |
汞(以Hg计), mg/kg ≤ | 0.3 | GB 5009.17 |
镉(以Cd计), mg/kg ≤ | 0.2 | GB 5009.15 |
【微生物指标】
应符合表3规定。
表3 微生物指标
项目 | 指标 | 检验方法 | |||
菌落总数,CFU/g ≤ | 30000 | GB 4789.2 | |||
霉菌和酵母,CFU/g ≤ | 50 | GB 4789.15 | |||
大肠菌群,MPN/g ≤ | 0.92 | GB 4789.3 MPN计数法 | |||
沙门氏菌 ≤ | 0/25g | GB 4789.4 | |||
金黄色葡萄球菌 ≤ | 0/25g | GB 4789.10 | |||
副溶血性弧菌,MPN/g | 采样量为25g | GB/T 4789.7 | |||
n | c | m | M | ||
5 | 1 | 100 MPN/g | 1000 MPN/g | ||
注:n为同一批次产品应采集的样品件数;c为最大可允许超出m值的样品数;m为致病菌指标可接受水平的限量值;M为致病菌指标的最高安全限量值。
【标志性成分指标】
应符合表4规定。
表4标志性成分指标
项目 | 指标 | 检验方法 |
β-胡萝卜素,g/kg ≥ | 0.20 | 1β-胡萝卜素的测定 |
藻蓝蛋白,% ≥ | 5.00 | 2藻蓝蛋白的测定 |
1β-胡萝卜素的测定
1.1试剂和材料
1.1.1 氢氧化钾溶液:称固体氢氧化钾500g,加入500mL水溶解。临用前配制。
1.1.2 无水硫酸钠(Na2SO4),分析纯
1.1.3 抗坏血酸(C6H8O6),分析纯
1.1.4 石油醚:沸程30℃~60℃,分析纯
1.1.5 甲醇(CH4O),色谱纯
1.1.6 乙腈(C2H3N),色谱纯
1.1.7 甲基叔丁基醚[CH3OC(CH3)3],色谱纯
1.1.8 二氯甲烷(CH2Cl2),色谱纯
1.1.9 无水乙醇(C2H6O),优级纯
1.1.10 水,符合GB/T6682规定的一级水
1.1.11 碘溶液(I2):0.5 mol/L浓度
1.1.12 2,6-二叔丁基-4-甲基苯酚(C15H24O,BHT)
1.2 仪器和设备
1.2.1 匀浆机
1.2.2 高速粉碎机
1.2.3 恒温振荡水浴箱(控温精度±1℃)
1.2.4 旋转蒸发器
1.2.5 氮吹仪
1.2.6 紫外-可见光分光光度计
1.2.7 高效液相色谱仪(带紫外检测器)
1.3 对照品溶液制备
1.3.1 β-胡萝卜素标准储备液(500μg/mL)
准确称取β-胡萝卜素标准品25mg(精确到0.1mg),加入0.125gBHT,用二氯甲烷溶解,转移至50mL棕色容量瓶中定容至刻度。
1.3.2 β-胡萝卜素标准中间液(100 μg/mL)
从β-胡萝卜素标准储备液中准确移取10.0 mL溶液于50mL棕色容量瓶中,用二氯甲烷定容至刻度。
1.3.3 β-胡萝卜素标准工作液
从β-胡萝卜素标准中间液中分别准确移取0.50 mL、1.00 mL、2.00 mL、3.00 mL、4.00 mL、10.00 mL溶液至6个100 mL棕色容量瓶。 用二氯甲烷定容至刻度,得到浓度为0.5 μg/mL、1.0 μg/mL、2.0 μg/mL、3.0 μg/mL、4.0 μg/mL、10 μg/mL的系列标准工作液。
1.3.4 碘乙醇溶液(0.05 mol/L)
吸取5 mL碘溶液,用乙醇稀释至50 mL,混匀。
1.3.5 异构化β-胡萝卜素溶液
取10 mLβ-胡萝卜素标准储备液于烧杯中,加入20 μL碘乙醇溶液,摇匀后于日光下或距离40 W日光灯30 cm处照射15 min,用二氯甲烷稀释至50 mL。摇匀后过0.45 μm滤膜,备HPLC色谱分析用。
1.4供试品溶液制备
1.4.1 预处理
精确称取1g~5g (精确至0.001g)螺旋藻粉,转至250mL锥形瓶中,加入1g抗坏血酸、75mL无水乙醇,于60℃±1℃水浴振荡30min。
1.4.2 皂化
加入25mL氢氧化钾溶液,盖上瓶塞。置于已预热至53℃±2℃恒温振荡水浴箱中,皂化30min。取出,静置,冷却到室温。
1.4.3 试样萃取
将皂化液转入500mL分液漏斗中,加入100mL石油醚,轻轻摇动,排气,盖好瓶塞,室温下振荡,10min后静置分层,将水相转入另一分液漏斗中按上述方法进行第二次提取。合并有机相,用水洗至近中性。弃水相,有机相通过无水硫酸钠过滤脱水。滤液收入500mL蒸发瓶中,于旋转蒸发器上40℃±2℃减压浓缩,近干。用氮气吹干,用移液管准确加入5.0mL二氯甲烷,盖上瓶塞,充分溶解提取物。经0.45 μm膜过滤后,弃出初始约1mL滤液后收集至进样瓶中,备用。
1.5 色谱条件
a) 色谱柱:C30柱,柱长150mm,内径4.6mm,粒径5μm,或等效柱;
b) 流动相:A相:甲醇:乙腈:水=73.5:24.5:2;
B相:甲基叔丁基醚;
表5 梯度程序
时间/min | 0 | 15 | 18 | 19 | 20 | 22 |
A% | 100 | 59 | 20 | 20 | 0 | 100 |
B% | 0 | 41 | 80 | 80 | 100 | 0 |
c) 流速:1.0mL/min;
d) 检测波长:450nm;
e) 柱温:30 ℃±1 ℃;
f) 进样体积:20μL。
1.6 测定
在相同色谱条件下,将待测液注入液相色谱仪中,以保留时间定性,根据峰面积采用外标法定量,β-胡萝卜素根据全反式β-胡萝卜素响应因子进行计算。
1.7 全反式β-胡萝卜素色谱纯度的计算
1.7.1 β-胡萝卜素异构体保留时间的确认
分别取β-胡萝卜素标准中间液(100 μg/mL)和异构化β-胡萝卜素溶液,按照色谱条件注入HPLC仪进行色谱分析。根据β-胡萝卜素标准中间液的色谱图确认全反式β-胡萝卜素的保留时间;对比β-胡萝卜素标准中间液和异构化β-胡萝卜素溶液色谱图中各峰面积变化,以及与全反式β-胡萝卜素的位置关系确认顺式β-胡萝卜素异构体的保留时间:全反式β-胡萝卜素前较大的色谱峰为13-顺式-β-胡萝卜素,紧邻全反式β-胡萝卜素后较大的色谱峰为9-顺式-β-胡萝卜素,13-顺式-β-胡萝卜素前是15-顺式-β-胡萝卜素,另外可能还有其他较小的顺式结构色谱峰,色谱图见图。
1.7.2 全反式β反胡萝卜素标准液色谱纯度的计算
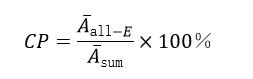
取β-胡萝卜素标准工作液(3 μg/mL),按照色谱条件进行HPLC分析,重复进样6次。计算全反式β-胡萝卜素色谱峰的峰面积、全反式与上述各顺式结构的峰面积总和,全反式β-胡萝卜素色谱纯度(CP)按公式计算。

CP———全反式β-胡萝卜素色谱纯度,%;
Ᾱall-E———全反式β-胡萝卜素色谱峰峰面积平均值,单位为峰面积(AU);
Ᾱsum———全反式β-胡萝卜素及各顺式结构峰面积总和平均值,单位为峰面积(AU)。
1.8 结果计算
计算全反式β-胡萝卜素响应因子
将β-胡萝卜素混合标准工作液注入HPLC仪中(色谱图见图1),根据保留时间定性,测定β-胡萝卜素各异构体峰面积。
β-胡萝卜素根据标准工作液标定浓度、全反式β-胡萝卜素6次测定峰面积平均值、全反式β-胡萝卜素色谱纯度(CP),按公式计算全反式β-胡萝卜素响应因子。

式中:
RF ———全反式β-胡萝卜素响应因子,单位为峰面积毫升每微克(AU·mL/μg);
Ᾱall-E ———全反式β-胡萝卜素标准工作液色谱峰峰面积平均值,单位为峰面积(AU);
ρ ———β-胡萝卜素标准工作液标定浓度,单位为微克每毫升(μg/mL);
CP ———全反式β-胡萝卜素的色谱纯度,%。
试样中β-胡萝卜素含量按下公式计算:

式中:
Xβ ———试样中β-胡萝卜素的含量,单位为微克每百克(μg/100g);
Aall-E ———试样待测液中全反式β-胡萝卜素峰面积,单位为峰面积(AU);
A9Z ———试样待测液中9-顺式-β-胡萝卜素的峰面积,单位为峰面积(AU);
A13Z ———试样待测液中13-顺式-β-胡萝卜素的峰面积,单位为峰面积(AU);
1.2 ———13-顺式-β-胡萝卜素的相对校正因子;
A15Z ———试样待测液中15-顺式-β-胡萝卜素的峰面积,单位为峰面积(AU);
1.4 ———15-顺式-β-胡萝卜素的相对校正因子;
AxZ ———试样待测液中其他顺式β-胡萝卜素的峰面积,单位为峰面积(AU);
V ———试样液定容体积,单位为毫升(mL);
100 ———将结果表示为微克每百克(μg/100g)的系数;
RF ———全反式β-胡萝卜素响应因子,单位为峰面积毫升每微克(AU·mL/μg);
m ———试样质量,单位为克(g)。
注1:由于β-胡萝卜素各异构体百分吸光系数不同(见附录D),所以在β-胡萝卜素计算过程中,需采用相对校正因子对结果进行校正。
注2:如果试样中其他顺式β-胡萝卜素含量较低,可不进行计算。
1.9 色谱图

图1 β-胡萝卜素检测色谱图
说明:
Ⅰ——15-顺式-β-胡萝卜素;
Ⅱ——13-顺式-β-胡萝卜素;
Ⅲ——全反式α-胡萝卜素;
Ⅳ——全反式β-胡萝卜素;
Ⅴ——9-顺式-β-胡萝卜素。
2 藻蓝蛋白的测定
2.1试剂
磷酸盐缓冲溶液:将0.1 mol/L磷酸二氢钾溶液与0.1 mol/L磷酸氢二钾溶液(45+55V/V) 混合,溶液pH值为7.0。
2.2仪器和设备
2.2.1 分光光度计
2.2.2 超声波振荡器
2.2.3 离心机(3000 r/min)
2.2.4 低温冰箱(-20 ℃)
2.2.5 离心管(50 mL)。
2.3 供试品溶液制备
称取试样0.25-0.5g(精确至0.0001g)。用缓冲液(2.1项)溶解,超声振荡5 min.定容于250 mL容量瓶中,摇匀。将溶液全部转入250 mL广口塑料瓶,置于-20℃冰箱内冷冻12h(或放置过夜)。取出解冻,摇匀。
2.4 测定
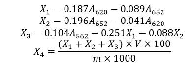
取部分溶液于离心管中,在3000r/min转速下离心15min取上层清液.1 cm比色皿,在分光光度计上分别测定620 nm、652 nm、562 nm处的吸光度,用缓冲液(2.1项)做空白。
2.5 结果计算

X1——测试液中藻蓝素的含量,单位为毫克每毫升(mg/mL);
X2——测试液中异藻蓝素的含量,单位为毫克每毫升(mg/mL);
X3——测试液中藻红素的含量,单位为毫克每毫升(mg/mL);
A——相应波长处(620nm,652nm,562nm)测得吸光值;
X4——试样中藻蓝蛋白的质量分数,单位为克每100克(g/100g);
V——样品定容体积,单位为毫升(mL)。
m——试样质量,单位为克(g)。
测定结果取平行试验结果的算术平均值,保留小数点后第二位。
平行试验允许误差(相对)不大于4%。
注2 整个操作过程须注意避光,分光光度测定应在15 min 内完成。
【储存】包装应密封、牢固、防潮、不易破损,贮藏在遮荫、干燥、通风的库房内
【产品的剂型】片剂、颗粒剂、硬胶囊
——————————
附件4
《保健食品原料目录 鱼油》
原料名称 | 每日用量 | 功效 | |||
名称 | 用量范围 | 适宜人群 | 不适宜人群 | 注意事项 | |
鱼油 | 不高于4.0g (其中,EPA+DHA的用量不低于1.0g) | 血脂偏高者 | 少年儿童、孕妇、乳母;出血倾向者和出血性疾病患者;肝功能不全者 | 对海产品过敏者不推荐食用 | 辅助降血脂 |
鱼油原料技术要求
【来源】
可食用海洋鱼经蒸煮、分离得粗鱼油,再经进一步精制获得用于生产保健食品的原料鱼油,分为甘油三酯型鱼油和乙酯型鱼油。实际生产采用的工艺应包含但不仅限于以下环节:
① 甘油三酯型鱼油生产工艺
粗鱼油经脱酸、脱色等工艺处理后得到甘油三酯型鱼油;或经乙酯化、蒸馏、甘油酯化等工艺处理后得到甘油三酯型鱼油。
② 乙酯型鱼油生产工艺
粗鱼油经乙酯化、蒸馏等工艺处理后得到乙酯型鱼油。
保健食品原料鱼油可来源于鱼油、鱼油提取物、多烯鱼油,技术要求应满足本文本要求。
【感官要求】
应符合表1规定。
表1 感官指标
项目 | 要求 |
色泽 | 浅黄色或橙红色 |
滋味、气味 | 稍有鱼油特有的腥味,无鱼油酸败味 |
状态 | 澄清透明的液体,无沉淀物,无肉眼可见外来杂质 |
【理化指标】
应符合表2规定。
表2 理化指标
项目 | 指标 | 检测方法 |
水分及挥发物,% ≤ | 0.2 | GB 5009.236 |
酸价(以KOH计),mg/g ≤ | 3.0 | GB 5009.229 |
过氧化值,mmol/kg ≤ | 5.0 | GB 5009.227 |
茴香胺值 ≤ | 20.0 | GB/T 24304 |
碘值,g/100 g ≥ | 140 | GB/T 5532 |
不皂化物,% ≤ | 3.0 | GB/T 5535.2 |
铅(以Pb计),mg/kg ≤ | 0.1 | GB5009.12 |
总砷(以As计),mg/kg ≤ | 0.1 | GB5009.11 |
苯并[a]芘,μg/kg ≤ | 10 | GB5009.27 |
【标志性成分指标】
应符合表4规定。
表4标志性成分指标
项目 | 指标 | 检测方法 |
EPA+DHA含量,g/100g | ≥25 | GB 5009.168《食品安全国家标准 食品中脂肪酸的测定》 |
【储存】干燥阴凉、避光、密封保存。
【产品的剂型】软胶囊
——————————
附件5
《保健食品原料目录 褪黑素》
原料名称 | 每日用量 | 功效 | |||
名称 | 用量范围 | 适宜人群 | 不适宜人群 | 注意事项 | |
褪黑素 | 1-3mg | 成人 | 少年儿童、孕妇、乳母 | 从事驾驶、机械作业或危险操作者,不要在操作前或操作中食用。自身免疫症(类风湿等)及甲亢患者慎用。 | 改善睡眠 |
褪黑素原料技术要求
【来源】
褪黑素原料是以合成的5-甲氧基色胺经过乙酰化制得。化合物名称为N-乙酰基-5-甲氧基色胺,分子式为C13H16N2O2。

【感官要求】
应符合表1规定。
表1 感官指标
项目 | 要求 |
色泽 | 白色或类白色 |
状态 | 结晶状颗粒或粉末 |
【鉴别】
在【标志性成分指标】项下记录的色谱图中,供试品溶液主峰的保留时间应与对照品溶液主峰的保留时间一致。
【理化指标】
应符合表2规定。
表2 理化指标
项目 | 指标 | 检验方法 |
5-甲氧基色胺,% ≤ | 0.1 | 1 5-甲氧基色胺的测定 |
干燥失重,% ≤ | 0.5 | 2干燥失重的测定 |
炽灼残渣,% ≤ | 0.1 | 3炽灼残渣的测定 |
铅(以Pb计),mg/kg ≤ | 2.0 | GB 5009.12 |
总砷(以As计),mg/kg ≤ | 1.0 | GB 5009.11 |
总汞(以Hg计),mg/kg ≤ | 0.3 | GB 5009.17 |
1 5-甲氧基色胺的测定
1.1 试剂和材料
1.1.1 5-甲氧基色胺标准物质
1.1.2 甲醇溶液:70 %
1.1.3 甲醇:色谱纯
1.1.4 三氟乙酸:分析纯
1.2 仪器和设备
1.2.1 电子天平
1.2.2 超声清洗器
1.2.3 高效液相色谱仪
1.3 对照品溶液的制备
精密称定5-甲氧基色胺约50mg,置50mL量瓶中,加70%甲醇溶液溶解并稀释至刻度,摇匀。精密量取适量上述溶液,用流动相定量稀释制成每1 mL中含1 μg的溶液,作为对照品溶液。
1.4供试品溶液的制备
精密称定褪黑素原料约100 mg,置于10 mL量瓶中,加70 %甲醇溶液溶解并稀释至刻度,摇匀。精密量取适量上述溶液,用流动相定量稀释制成每1 mL中含1 mg的溶液,作为供试品溶液。
1.5测定
色谱条件与测定方法 用十八烷基硅烷键合硅胶为填充剂;色谱柱规格:4.6 mm×150 mm,5 μm;流动相为甲醇:0.1%三氟乙酸水溶液=35:65。检测波长:222 nm;流速:1.0 mL/min;进样量:10 μL。将上述溶液依次注入高效液相色谱仪,记录色谱图。以保留时间定性,分别测量对照品和供试品溶液峰面积。
1.6 结果计算
5-甲氧基色胺含量计算:
W = (Au / As)×(cs ×V / m)/1000×100%
式中:
W:5-甲氧基色胺含量,%;
Au:供试品溶液的峰面积;
As:标准品溶液的峰面积;
m:原料的称样量(mg);
V:总体积(mL);
cs:标准品溶液的浓度(μg/mL)。
2 干燥失重的测定
2.1 试剂和材料
干燥剂:五氧化二磷、无水氯化钙或硅胶。
2.2 仪器和设备
2.2.1 电子天平
2.2.2 扁形称量瓶
2.2.3 烘箱
2.2.4 干燥器
2.3 分析步骤
取洁净铝制或玻璃制的扁形称量瓶,置于101 ℃-105 ℃烘箱中,瓶盖置于瓶边,加热1.0 h,取出盖好,置干燥器内冷却,称量,重复干燥1 h以上,至前后两次质量差不超过0.3 mg,即为恒重。精密称取1 g试样,放入此称量瓶中,试样厚度不超过5 mm,加盖,精密称量后,置于101 ℃-105 ℃干燥箱中,瓶盖置于瓶边,干燥2 h-4 h后,盖好取出,放入干燥器内冷却0.5 h后称量。重复以上操作干燥1 h以上,至前后两次质量差不超过0.3 mg。
2.4 结果计算
干燥失重的计算:
X=(m1-m2)/(m1-m3)×100%
式中:
X:干燥失重(%);
m1:称量瓶和试样的质量(g);
m2:称量瓶和试样干燥恒重后的质量(g);
m3:称量瓶干燥恒重后的质量(g)。
3 炽灼残渣的测定
3.1 试剂和材料
3.1.1 硫酸,分析纯
3.1.2 干燥剂:五氧化二磷、无水氯化钙或硅胶
3.2 仪器和设备
3.2.1 电子天平
3.2.2 坩埚
3.2.3 电热板
3.2.4 马弗炉
3.2.5 干燥器
3.3 分析步骤
将洗净的坩埚置于马弗炉内,在700 ℃-800 ℃下炽灼30 min以上,后在干燥器内冷却至室温,称重,精确至0.0001g。重复炽灼30 min以上,至前后两次质量差不超过0.3 mg,即为恒重。称取1 g-2 g试样放入此坩埚中,加盖,精密称量后,将其盖半掩置于电热板上,以小火加热使试样充分炭化至无烟,放冷,加硫酸0.5-1 mL使湿润,低温加热至硫酸蒸汽除尽后,700 ℃-800 ℃下炽灼1 h以上,使完全灰化,置干燥器内,放冷,精密称定。重复炽灼30 min以上,至前后两次质量差不超过0.3 mg。
3.4 结果计算
炽灼残渣计算:
X=(m1-m2)/(m3-m2)×100%
式中:
X:炽灼残渣(%);
m1:坩埚和灰分恒重后的质量(g);
m2:坩埚恒重后的质量(g);
m3:坩埚和试样的质量(g)。
【微生物指标】
应符合表3规定。
表3 微生物指标
项目 | 指标 | 检验方法 |
菌落总数,CFU/g ≤ | 1000 | GB 4789.2 |
霉菌和酵母,CFU/g ≤ | 50 | GB 4789.15 |
大肠菌群,MPN/g ≤ | 0.92 | GB 4789.3 MPN计数法 |
沙门氏菌 ≤ | 0/25g | GB 4789.4 |
金黄色葡萄球菌 ≤ | 0/25g | GB 4789.10 |
【标志性成分指标】
应符合表4规定。
表4标志性成分指标
项目 | 指标 | 检验方法 |
褪黑素含量,% ≥ | 99.5 | 4 褪黑素的含量测定 |
4 褪黑素的含量测定
4.1 试剂和材料
4.1.1 褪黑素标准物质
4.1.2 甲醇溶液:70 %
4.1.3 甲醇:色谱纯
4.1.4 三氟乙酸:分析纯
4.2 仪器和设备
4.2.1 电子天平
4.2.2 超声清洗器
4.2.3 高效液相色谱仪
4.3 供试品溶液的制备
精密称定褪黑素原料约100 mg,置于100 mL量瓶中,加70 %甲醇溶液溶解并稀释至刻度,摇匀。精密量取适量上述溶液,用流动相定量稀释制成每1 mL中含0.1mg的溶液,作为供试品溶液。
4.4 对照品溶液的制备
精密称定褪黑素标准物质约50 mg,置于50 mL量瓶中,加70 %甲醇溶液溶解并稀释至刻度,摇匀。精密量取适量上述溶液,用流动相定量稀释制成每1mL中含0.1mg的溶液,作为对照品溶液。
4.5 测定
色谱条件与测定方法 用十八烷基硅烷键合硅胶为填充剂;色谱柱规格:4.6 mm×150 mm,5 μm;流动相为甲醇:0.1%三氟乙酸水溶液=35:65。检测波长:222 nm;流速:1.0 mL/min;进样量:10μL。将上述溶液依次注入高效液相色谱仪,记录色谱图。以保留时间定性,分别测量对照品和供试品溶液峰面积。
4.6 结果计算
褪黑素含量计算:
W = (Au / As)×(cs×V / m)×100%
式中:
W:褪黑素含量,%;
Au:供试品溶液的峰面积;
As:标准品溶液的峰面积;
m:原料的称样量(mg);
V:总体积(mL);
cs:标准品溶液的浓度(mg/mL)。
【储存】避光、密闭,在阴凉处保存
【产品的剂型】片剂、颗粒剂、硬胶囊、软胶囊
【其他】
产品配方中除褪黑素和必要的辅料(赋形剂)外,不得添加其他成分(维生素B6除外)
——————————
