聚合物主要是高分子化合物,是以煤、石油、天然气等为起始原料制得低分子有机化合物,再经聚合反应而制成的。主要用于生产各种塑料、合成橡胶、合成纤维、涂料和粘结剂等,广泛应用于汽车、家居、食品、电气等领域,与我们的生活息息相关。随着欧盟REACH法规的实施,聚合物REACH义务的履行相比其他物质更加复杂,这使得聚合物的对欧出口面临新的挑战。
名词解释
聚合物:指由一种或多种单体链节的连接序列为特征的分子组成的物质。这些分子须依一定范围的相对分子质量分布,而相对分子质量的不同基本决定了单体单元数量的不同。REACH法规下聚合物的定义和常见的聚合物定义有所不同,只有聚合度n大于等于3的组分之和含量超过50%,并且单一聚合度的组分含量不超过50%才符合REACH法规定义下的聚合物定义。
以下为一些判断实例:
| 例子1 | 例子2 | 例子3 |
n=1 | 0% | 40% | 5% |
n=2 | 10% | 20% | 10% |
n=3 | 85% | 15% | 20% |
n=4 | 5% | 12% | 30% |
n=5 | 0% | 8% | 20% |
n=6 | 0% | 5% | 10% |
n=7 | 0% | 0% | 5% |
加和 | 100% | 100% | 100% |
根据REACH下的聚合物定义,我们可以清楚得到以下结论:
例子1 由于n=3单一组分超过50%,不符合聚合物定义;
例子2 由于n大于等于3的组分之和未超过50%,因此也不符合聚合物定义;
例子3同时满足 n大于等于3的组分之和超过50%,单一的组分n含量未超过50%,因此符合聚合物定义。
单体:指用于在特定制造的相关聚合物形成的反应条件下,能够和其他相似或是非相似的一系列分子形成共价键的物质。
单体单元 :指聚合物中单体物质的反应形式。
例如:

单体单元为:
NLP:即no-longer polymer,意指以前是聚合物,但是目前不再视为聚合物的化学物质。根据REACH法规的相关规定,聚合物属于特殊的情况,本身不需要进行注册。但是一旦该聚合物被定义为NLP以后,就被定义为分阶段物质,需要直接以整体进行注册。NLP物质的特征是以EC号5开头,这类物质根据物质识别信息,基本会被归类为UVCB物质。
UVCB物质:化学结构未知,组分可变,复杂的反应产物或生物材料物质。因为无法仅利用化学成分的组成确认,因此主成分和杂质等名词都不适用,但是需要尽量陈述清楚含量在10%以上的物质名称,需要确认有害物质的分类或者PBT物质的成分。
豁免or 注册?
REACH法规规定,聚合物本身豁免注册。但是,需要对其中的单体和添加的其他化学物质进行注册,只要符合2%和1t/y原则,即:
1) 组成聚合物的以单体单元和化学键合物质形式存在的此类单体物质或其他物质的质量分数≥2%。
2) 此类单体物质或其他物质的总量≥1吨/年。
通过注册单体物质,可以有效了解单体的风险,通过评估单体的风险即可从另一方面确认使用聚合物过程可能导致的风险。
除此之外,聚合物由于种类繁多,还有一些聚合物无论是聚合物自身还是单体都可以豁免REACH注册,以下为一些豁免的典型情况:
1)天然聚合物:属于天然存在的物质,其单体被视为非分离中间体,因此,聚合物和单体均被豁免。如果是经过改性的天然聚合物,只需要对改性剂进行注册即可。
2) 根据REACH法规第6条第3款的规定,如果供应链上已经有人注册过聚合物中的物质,或者虽未有人注册,但不同时满足2%的质量分数及1吨/年总量要求,这些情况也可以豁免注册。
3) 从废物中再生的聚合物,如果回收聚合物中的物质已经被人注册过(无论相同供应链还是不同供应链),它的单体和其他物质也可以豁免注册。
除了上述豁免情况,其他的聚合物制造商和进口商都必须为符合2%和1t/y原则的单体物质和其他物质提交注册。
聚合物REACH注册举例
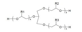
某欧盟公司想要进口50吨/年的树脂产品,此产品由环氧乙烷,环氧丙烷和甘油反应制得,组成如下:
●70.0%(质量比)的聚合环氧乙烷
●29%(质量比)的聚合环氧丙烷
●1%(质量比)的甘油
该聚合物的结构式如下:

聚合物的组成如下:
物质 | 类型 | 占聚合物的质量百分比 | 未知物与已反应的物质总量 |
环氧乙烷 | 聚合物单体 | 70.0% | 35吨 |
环氧丙烷 | 聚合物单体 | 29% | 14.5吨 |
甘油 | 以化学键结合的其他物质 | 1% | 0.5吨 |
假设该产品符合REACH聚合物定义且供应链上没有为环氧乙烷、环氧丙烷和甘油做过任何注册。那么该公司就要对环氧乙烷和环氧丙烷进行注册,原因如下:
(1)用于合成聚合物的环氧乙烷和环氧丙烷的总量分别是35吨和14.5吨
(2)用于合成聚合物的环氧乙烷和环氧丙烷单体所占的质量分数分别是70.0%和29%
另外,甘油不需要注册,因为不同时满足2%和1t/y原则。
针对环氧乙烷和环氧丙烷的REACH注册,由于这两个物质属于聚合物的单体,因此必须以常规物质进行注册。幸运的是,由于大部分的聚合物单体都属于大宗物质,尤其以石油裂解产品为主,LOA价格一般都在1万欧元以下。因此,如果企业有这方面的注册需求,可以尽快考虑开展注册。
根据瑞旭技术掌握的物质分类信息,有许多聚合物的单体包括环氧乙烷、环氧丙烷、四氟乙烯、1,3-丁二烯等物质属于CMR1,2类物质,对于这些物质,由于注册截止期限为2010年12月1日,企业只有完成了正式注册,才能出口到欧盟。因此,企业需要对自己的产品有清楚的了解,尤其是单体的分类信息和吨位信息,才能够保证合规。
除此之外,NLP物质也需要企业重点关注。以环氧树脂为例,注册的主体是整体而非其中的单体,以EC号500-033-5包括了所有的双酚A型液态环氧树脂,其物质识别信息为:

因此属于典型的UVCB物质,这类物质由于成分很多,每种成分变化很大,因此,需要企业仔细确认每种组分的含量是否符合领头注册人公布的SIP信息(物质鉴别信息),方可联合提交。
聚合物CLP法规应对
聚合物的CLP法规应对和REACH注册采取了截然不同的方式,前面已经分析了聚合物REACH注册以单体和其他进入聚合物的物质作为应对主体,对于符合2%和1t/y原则的物质进行注册。
相对于聚合物REACH注册的复杂形势,CLP法规要求相对简单。只要以整体应对,即把聚合物视为物质,整体来考虑CLP法规下的义务。CLP法规下的义务主要有:
1.制作安全数据表(SDS)
根据REACH法规第31条的要求,如果物质具有GHS分类或者为PBT/vPvB物质时,则应提供SDS。根据工业界的经验,通常高聚物,尤其是分子量超过1000道尔顿(原子质量单位),不含高反应活性官能团的低关注度聚合物,一般都没有危害,这类聚合物一般无需提供SDS。对于其他的聚合物尤其是单体残留量较高的聚合物,需要仔细评估单体的分类是否对聚合物整体造成影响,导致聚合物有新的分类。
2.进行C&L通报
根据CLP第39条款规定:要求进行REACH注册的物质或者是具有危害分类的物质必须向ECHA提交分类标签通报。聚合物的情况有其特殊,由于聚合物自身豁免REACH注册,因此是否需要进行通报,取决于聚合物自身是否具有危害分类。值得一提的是NLP类物质,即EC号为5开头的物质,这类物质在REACH法规下不被视为聚合物,因此符合要求注册的条件,必须向ECHA进行C&L通报。
3.制作标签
标签除分类信息外,还提供了供应商的信息、物质的基本信息等,并且直接粘贴在包装上,因此无论聚合物是否具有分类,都需要提供标签。在这种情况下,建议企业根据CLP法规的要求,结合物质的具体分类情况,提供相应的CLP标签。如果聚合物没有分类,那么建议提供供应商的信息,物质的基本信息,重量,批号,条形码等其他相关信息。

