中文名称:保健食品原料目录 灵芝(征求意见稿)
英文名称:Health Food Raw Materials Directory of Ganoderma (Draft)
发布时间:2022/10/25
截止时间:2022/11/25
发布单位:国家市场监督管理总局
附件3
《保健食品原料目录 灵芝(征求意见稿)》
原料名称 | 每日用量 | 功效 | |||
名称 | 用量范围 | 适宜人群 | 不适宜人群 | 注意事项 | |
灵芝
| 4-6g
| 免疫力低下者 | 少年儿童、孕妇、乳母 |
| 增强免疫力 |
灵芝原料技术要求
【来源】
多孔菌科真菌赤芝(Ganoderma lucidum (Leyss. ex Fr.) Karst.)、紫芝(Ganoderma sinense Zhao, Xu et Zhang)的干燥子实体。除去杂质,剪除附有朽木、泥沙或培养基质的下端菌柄,阴干或 40~50℃烘干而得。
【感官要求】
应符合表 1 规定。
表 1 感官指标
项目 | 要求 |
色泽 | 全体表面呈浅黄褐色或黄白色。断面浅黄白色。 |
滋味、气味 | 气微而特异,味微苦、甘 |
状态 | 赤芝:外形呈伞状,菌盖肾形、半圆形或近圆形,直径 10~18cm,厚1~2cm。皮壳坚硬,黄褐色至红褐色,有光泽,具环状棱纹和辐射状皱纹,边缘薄而平截,常稍内卷。菌肉白色至淡棕色。菌柄圆柱形,侧生,少偏生,长 7~15cm,直径 1~3.5cm,红褐色至紫褐色,光亮。孢子细小,黄褐色。 紫芝:皮壳紫黑色,有漆样光泽。菌肉锈褐色。菌柄长 17~23cm。 栽培品 子实体较粗壮、肥厚,直径 12~22cm,厚 1.5~4cm。皮壳外常被有大量粉尘样的黄褐色孢子。 |
【鉴别】
1 本品粉末浅棕色、棕褐色至紫褐色。菌丝散在或粘结成团,无色或淡棕色,细长,稍弯曲,有分枝,直径 2.5~6.5 μm。孢子褐色,卵形,顶端平截,外壁无色,内壁有疣状突起,长 8~12 μm,宽 5~8 μm。
2 取本品粉末 2 g,加乙醇 30 mL,加热回流 30 min,滤过,滤液蒸干,残渣加甲醇2 mL 使溶解,作为供试品溶液。另取灵芝子实体对照药材 2 g,同法制成对照药材溶液。照薄层色谱法(通则 0502)试验,吸取上述两种溶液各 4 μl,分别点于同一硅胶 G 薄层板上,以石油醚(60~90℃)-甲酸乙酯-甲酸(15:5:1)的上层溶液为展开剂,展开,取出,晾干,置紫外光灯(365 nm)下检视。供试品色谱中,在与对照药材色谱相应的位置上,显相同颜色的荧光斑点。
3 取本品粉末 1 g,加水 50 mL,加热回流 1 小时,趁热滤过,滤液置蒸发皿中,用少量水分次洗涤容器,合并洗液并入蒸发皿中,置水浴上蒸干,残渣用水 5 mL 溶解,置 50 mL 离心管中,缓缓加入乙醇 25 mL,不断搅拌,静置 1 h,离心(转速为每分钟 4000 转),取沉淀物,用乙醇 10 mL 洗涤,离心,取沉淀物,烘干,放冷,加 4 mol/L 三氟乙酸溶液 2 mL,置 10 mL 安瓿瓶或顶空瓶中,封口,混匀,在 120℃水解 3 h,放冷,水解液转移至 50 mL 烧瓶中,用 2 mL 水洗涤容器,洗涤液并入烧瓶中,60℃减压蒸干,用 70%乙醇 2 mL 溶解,置离心管中,离心,取上清液作为供试品溶液。另取半乳糖对照品、葡萄糖对照品、甘露糖对照品和木糖对照品适量,精密称定,加 70%乙醇制成每 1 mL 各含 0.1 mg 的混合溶液,作为对照品溶液。照薄层色谱法(通则 0502)试验,吸取上述两种溶液各 3 μl,分别点于同一高效硅胶 G 薄层板上,以正丁醇-丙酮-水(5:1:1)为展开剂,展开,取出,晾干,喷以对氨基苯甲酸溶液(取 4-氨基苯甲酸 0.5g,溶于冰醋酸 9 mL 中,加水 10 mL 和 85%磷酸溶液 0.5 mL,混匀),在 105℃加热约 10 分钟,置紫外光灯(365 nm)下检视。供试品色谱中,在与对照品色谱相应的位置上,显相同颜色的荧光斑点。其中最强荧光斑点为葡萄糖,甘露糖和半乳糖荧光斑点强度相近,位于葡萄糖斑点上、下两侧,木糖斑点在甘露糖上,荧光斑点强度最弱。
【理化指标】
应符合表 2 规定。
表2 理化指标
项目 | 指标 | 检测方法 |
水分,% ≤ | 17.0 | GB 5009.3 |
灰分,% ≤ | 3.2 | GB 5009.4 |
铅(以Pb计),mg/kg ≤ | 1.0 | GB 5009.12 |
总砷(以As计),mg/kg ≤ | 0.5 | GB5009.11 |
总汞(以Hg计),mg/kg ≤ | 0.1 | GB 5009.17 |
镉(以Cd计), mg/kg ≤ | 0.2 | GB 5009.15 |
【农药残留】
应符合表3规定。
表3 农药残留指标
农药名称 | 残留物 | 最大残留量mg/kg | 检测方法 |
丁硫克百威 | 丁硫克百威 | 0.01 | GB 23200.13 |
乐果 | 乐果 | 0.01 | GB 23200.113、GB 23200.116、GB/T 5009.145、GB/T 20769、 |
硫丹 | α-硫丹和β-硫丹及硫丹硫酸酯之和 | 0.05 | GB/T5009.19 |
杀扑磷 | 杀扑磷 | 0.05 | GB 23200.8、GB 23200.113、GB 23200.116、GB/T 4553、 |
乙酰甲胺磷 | 乙酰甲胺磷 | 0.05 | GB 23200.113、GB 23200.116、GB/T 5009.103、GB/T 5009.145 |
特丁硫磷 | 特丁硫磷及其氧类似物(亚砜、砜)之和,以特丁硫磷表示。 | 0.01 | SN/T 4591 |
三氯沙螨醇 | 三氯沙螨醇(o,p'-异构体和p,p'-异构体之和 | 0.01 | GB 23200.110、 GB/T 5009.176 |
【标志性成分指标】
应符合表4规定。
表4 标志性成分指标
项目 | 指标 | 检验方法 |
多糖,% ≥ | 0.90(以无水葡萄糖(C6H12O6)计) | 1 多糖的测定 |
三萜及甾醇,% ≥ | 0.50 (以齐墩果酸(C30H48O3)计) | 2 三萜及甾醇的测定 |
1 多糖的测定
1.1 仪器与设备
1.1.1电子分析天平:精度 0.1 mg。
1.1.2 紫外可见分光光度计:±2nm。
1.1.3 电热恒温水浴锅:±0.5 ℃。
1.1.4 离心机:(0-4000)rpm/min。
1.2对照品溶液制备
葡萄糖对照品的配制:准确称取干燥至恒重的葡萄糖对照品适量,精密称定,加水制成每1 mL含0.12 mg的溶液,即得。
硫酸蒽酮溶液的制备(临用现配):准确称取0.1 g蒽酮置于烧杯中,缓缓加入100 mL硫酸溶解,摇匀,即得。
1.3 标准曲线的绘制
分别精密量取葡萄糖对照品溶液 0.2 mL、0.4 mL、0.6 mL、0.8 mL、1.0 mL、1.2 mL,分别置于具塞试管中,补充水至 2.0 mL,加入硫酸蒽酮溶液 6 mL,立即摇匀,放置 15 min后,立即置冰浴中冷却 15 min,取出,以相应的试剂为空白,用紫外可见分光光度计在 625nm 波长处测定吸光度。以葡萄糖质量为横坐标,吸光度值为纵坐标,绘制标准曲线。
1.4 样品的处理
取本品粉末约2 g,精密称定,置圆底烧瓶中,加水60 mL静置1小时,加热回流4 h,趁热滤过,用少量热水洗涤滤器和滤渣,将滤渣及滤纸置烧瓶中,加水60 mL,加热回流3 h,趁热滤过,合并滤液,置水浴上蒸干,残渣用水5 mL溶解,边搅拌边缓慢滴加乙醇75 mL,摇匀,在4℃放置12 h,离心,弃去上清液,沉淀物用热水溶解并转移至50 mL量瓶中,放冷,加水至刻度,摇匀,取溶液适量,离心,精密量取上清液3 mL,置25 mL量瓶中,加水至刻度,摇匀,即得。
1.5精密量取供试品溶液2 mL,置具塞试管中,照标准曲线制备项下的方法,自“迅速精密加入硫酸蔥酮溶液6 mL”起,同法操作,测定吸光度,从标准曲线上读出供试品溶液中无水葡萄糖的含量,计算,即得。
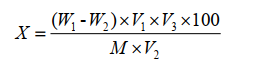
1.7 结果

X— 样品中多糖含量(以葡萄糖计),mg/100g;
W1—从标准曲线上查得样品测定液中含粗多糖的质量,mg;
W2—从标准曲线上查得样品空白液中含粗多糖的质量,mg;
M—样品质量,g;
V1—样品沉淀物定容体积,mL;
V2—移取沉淀物溶液量,mL;
V3—移取液稀释体积,mL;
100—单位换算系数。
2 三萜及甾醇的测定
2.1仪器与设备
2.1.1 电子分析天平:精度0.1 mg。
2.1.2 紫外可见分光光度计:±2 nm。
2.1.3 超声波清洗器:功率≥45 W。
2.1.4 电热恒温水浴锅:±0.5 ℃。
2.2 试剂与溶液
2.2.1 高氯酸,分析纯。
2.2.4 冰醋酸,分析纯。
2.2.5 香草醛,分析纯。
2.2.6 乙酸乙酯,分析纯。
2.3对照品溶液制备
齐墩果酸对照品的配制:取齐墩果酸对照品(纯度≥98%)适量,精密称定,加甲醇制成每1 mL含0. 2 mg的溶液,即得。
香草醛冰醋酸溶液(临用现配):精密称取香草醛0.5 g,加冰醋酸使溶解成10 mL,即得。
2.4标准曲线的绘制
精密量取对照品溶液0.1、0.2、0.3、0.4、0.5 mL,分别置15 mL具塞试管中,挥干,放冷,精密加入新配制的香草醛冰醋酸溶液0.2 mL,高氯酸0.8 mL,摇匀,在70℃水浴中加热15min,立即置冰浴中冷却5分钟,取出,精密加入乙酸乙酯4 mL,摇匀。用分光光度计于
546 nm波长处测定吸光度,以吸光度为纵坐标、浓度为横坐标绘制标准曲线。
2.5 样品的处理
取本品粉末约2 g,精密称定,置具塞锥形瓶中,加乙醇50 mL,超声处理(功率140W,频率42kHz)45分钟,滤过,滤液置100 mL量瓶中,用适量乙醇,分次洗涤滤器和滤渣,洗液并入同一量瓶中,加乙醇至刻度,摇匀,即得。
2.6 样品的测定
精密量取供试品溶液0.2 mL,置15 mL具塞试管中,照标准曲线制备项下的方法,自“挥干”起,同法操作,测定吸光度,从标准曲线上读出供试品溶液中齐墩果酸的含量,计算,即得。
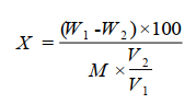
2.7 结果
X— 样品中三萜及甾醇含量(以齐墩果酸计),mg/100g;
W1—从曲线上查得样品测定液中含三萜及甾醇的质量,mg;
W2—从曲线上查得样品空白液中含三萜及甾醇的质量,mg;
M— 样品质量,g;
V1—样品测定液总体积,mL;
V2—比色测定时所移取样品测定液的体积,mL。
【储存】存放于通风、干燥、阴凉的仓库内,严禁与有害、有异味、有腐蚀性的物品混贮,
堆放须隔墙离地。防霉,防蛀。
【产品剂型及生产工艺要求】片剂(含片、咀嚼片、口服片)、硬胶囊、软胶囊、粉剂、口服溶液、颗粒剂,茶剂(不含茶叶)
灵芝原料在产品备案时,允许仅以物理粉碎,或仅经水提取,制成产品时不应再有其他引起物质基础发生改变的生产工艺。
灵芝打粉的主要参考工艺为:粉碎、灭菌(一般采取湿热灭菌等灭菌方法),干燥,过筛(80-100 目)
灵芝经水提取的主要参考工艺为:粉碎、过筛(10 目),水煎 2-3 次(水量:10-12 倍,时间:1-2h),过滤(200目),浓缩,干燥
