2017年11月28号至12月1号,CFDA共发布了5条产品召回信息。
公司名称 | 产品名称 | 召回原因 | 识别信息 | 召回等级 |
山东龙马保健品有限公司 | 足浴理疗 | 在抽查检验工作中发现患者漏电流值不合格可能存在风险原因 | 型号:KMZ-IV 批号:20161215 20160411 2014121 20141208 型号:KMZ-VI 批号:20150205 20160111 20160518 2016122 20141215 20150120 20140430 20150125 20131209 20151230 20141110 20140130 20131111 | 三级 |
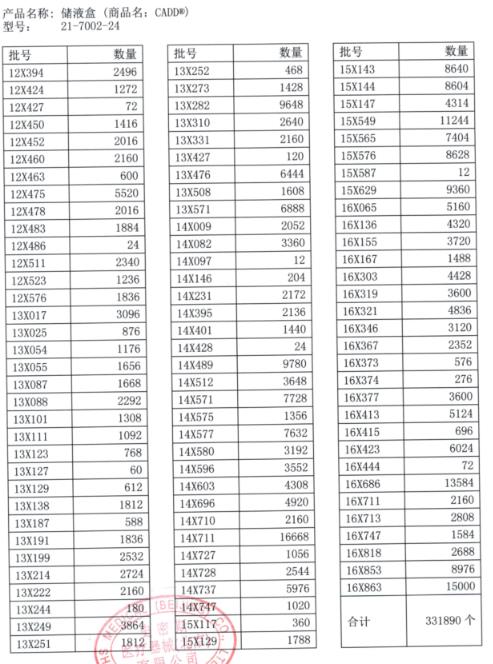
Smiths Medical ASD,Inc. | 储液盒(商品名:CADD | 在制作过程中使用了错误的压力板,可能会造成输液管部分或完全闭塞,导致患者用药不足 | 见附件1 | 一级 |
飞利浦医疗(苏州)有限公司 | 数字化医用X射线摄影系统 | 立式摄影架标签粘贴错误 | 见附件2 | 三级 |
Ion Beam Applications S.A. | 质子治疗系统 | 当创建/导入具有多个等中心的治疗计划时,用户必须在病人定位系统中手动输入不同的中心位置。 病人定位系统中不同中心位置之间的 差值(Δ)应该等于治疗计划中不同射野等中心位置之间的差值(Δ) 。质子治疗系统不检查病人定位系统中不同中心位置之间的差值(Δ)和实际治疗计划中不同射野等中心位置之间的差值(Δ)。如果处方中的病人定位系统中的中心位置错误,用户不会收到通知。 质子治疗系统接受了具有多个等中心位置的治疗计划时,病人定位系统需使用不同的中心位置,但是质子治疗系统不会检查这些位置和治疗计划中等中心位置的一致性。如果处方中的病人定位系统的中心位置错误,并且用户没有按照IBA 临床用户指南所推荐的使用 X 射线图像验证病人每个射野的摆位,则任何偏移都有可能出现等 | PAT.000,PAT.001, PAT.003,PAT.006, PAT.107,PAT.108, PAT.109,PAT.110, PAT.111,PAT.112, PAT.113,PAT.114, PAT.115,SAT.116, SAT.117,SAT.119, SAT.120,SAT.122, SAT.123,SAT.126, SAT.132,SAT.133, SAT.101,SAT. | |
Physio-Control,Inc. | 半自动体外除颤仪 | 本产品的附件低能量婴幼儿型除颤电极,其特定批次的包装上的插图未能符合的规范,针对婴儿的电极放置位置显示出现错误。受影响的低能量婴幼儿型除颤电极的性能或功能没有问题;问题仅限于包装内电极片的插图显示了针对婴儿的错误的电极放置位置 | 713609,717912 | 三级 |

附件2:

