此前,瑞旭集团农化事业部为大家接连总结盘点了2023年被美国环境保护署EPA和澳大利亚农药和兽药管理局APVMA批准的农药新活性成分情况,并收到了非常多企业的好评和关注。本次,小编根据加拿大卫生部下属有害生物管理局Pest Management Regulatory Agency(PMRA)发布的相关公告信息,盘点并罗列了去年一年被PMRA正式批准的农药新活性物质,旨在为国内农药企业进行研发,等同登记申请和产品登记布局作参考。
2023年,加拿大PMRA总共批准了8个农药新活性成分,其中传统化学农药6个,生物农药1个,植物生长调节剂1个,以下为批准的有效成分具体信息,仅供企业参考。
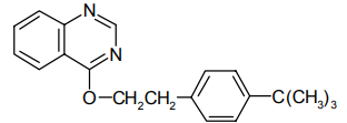
新活性成分1 – (喹螨醚Fenazaquin )
喹螨醚Fenazaquin是一种传统的化学除螨剂,可有效杀灭水果、坚果和观赏植物上的螨虫、木虱、粉虱。申请人GOWAN也已在2006年,以杀螨剂用途取得了国内ICAMA的原药和相关制剂登记。

喹螨醚结构式
IUPAC 名称 | 4-tert-butylphenethyl quinazolin-4-yl ether |
CAS No. | 120928-09-8 |
申请公司 | GOWAN COMPANY, L.L.C |
PMRA注册决定号 | RD2023-02 |
批准时间 | 2023-01-23 |
作用机制 | 喹螨醚作用机制是通过抑制线粒体电子传输链复合体I位点(NADH-泛醌还原酶)的活动,进而对广谱螨虫和某些昆虫表现出接触和杀卵活性。 |
批准的制剂产品 | MAGISTER SC MITICIDE (含有效成分205 g/l) MAGUS SC MITICIDE (含有效成分205 g/l) |
新活性成分2 – (吡啶喹唑啉Pyrifluquinazon)
吡啶喹唑啉作用方式新颖,是一种作用于昆虫神经系统的杀虫剂,通过控制昆虫行为发挥作用而非直接杀死,对刺吸式昆虫如蚜虫、白粉虱、粉蚧和蓟马有较高生物活性,且对天敌安全。目前该有效成分已在日本,美国、韩国获批,但还未在我国登记。

Pyrifluquinazon 结构式
IUPAC 名称 | 1-acetyl-1,2,3,4-tetrahydro-3-[(3-pyridylmethyl)amino]-6-[1,2,2,2-tetrafluoro-1-(trifluoromethyl)ethyl]quinazolin-2-one |
CAS No. | 337458-27-2 |
申请公司 | NICHINO AMERICA, INC. |
PMRA注册决定号 | RD2023-03 |
批准时间 | 2023-02-08 |
作用机制 | 杀虫剂抗药性行动委员会(IRAC)将其归为第9类弦音器TRPV通道调节剂。Pyrifluquinazon作为进食阻断剂干扰刺吸式害虫的摄食,使害虫无法再利用口器吸食植物从而导致其饥饿和死亡。 |
批准的制剂产品 | PYRIFLUQUINAZON 20SC INSECTICIDE,224 g/L RYCAR INSECTICIDE,224 g/L |
新活性成分3 – (联苯吡嗪菌胺Pyraziflumid)
联苯吡嗪菌胺是由日本农药株式会社开发的一款吡嗪酰胺结构的杀菌剂,目前已在日本完成了5个相关制剂产品的注册。本次加拿大PMRA批准的220 g/L悬浮剂产品,登记用于苹果树,防治白粉病和黑星病。目前该有效成分还未在我国登记。

Pyraziflumid 结构式
IUPAC 名称 | N-(3',4'-difluorobiphenyl-2-yl)-3-(trifluoromethyl)pyrazine-2-carboxamide |
CAS No. | 942515-63-1 |
申请公司 | NICHINO AMERICA, INC. |
PMRA注册决定号 | RD2023-04 |
批准时间 | 2023-03-06 |
作用机制 | Pyraziflumid国际杀菌剂抗性行动委员会(FRAC)将其归入C2组(SDHI类杀菌剂),吡嗪酰胺化合物。通过抑制线粒体复合体Ⅱ的琥珀酸脱氢酶(SDH)活性,从而阻断病原菌的能量代谢,抑制病原菌的生长,导致其死亡,最终达到防治植物病害的目的。。 |
批准的制剂产品 | Parade Fungicide,220 g/L |
新活性成分4 – (吡啶菌酰胺Florylpicoxamid)
吡啶菌酰胺是一种广谱吡啶酰胺类杀菌剂,对子囊菌门和担子菌门20多种植物病原真菌均有抑制作用。 加拿大PMRA同期批准的100 g/L吡啶菌酰胺乳油用于防治葫芦、葡萄等多种作物的白粉病、早疫病、灰霉病等多种病害;吡啶菌酰胺50 g/L+吡唑醚菌酯100 g/L乳油产品,登记用于防治小麦、油菜、甜菜等作物叶斑病、黑胫病、菌核病及扁豆炭疽病等多种作物病害。目前该有效成分也已在澳大利亚、韩国登记获批,但还未在我国完成登记。

Florylpicoxamid 结构式
IUPAC 名称 | (2S)-1,1-bis(4-fluorophenyl)propan-2-yl N-{[3-(acetyloxy)-4-methoxypyridin-2-yl]carbonyl}-L-alaninate |
CAS No. | 1961312-55-9 |
申请公司 | CORTEVA AGRISCIENCE CANADA COMPANY |
PMRA注册决定号 | RD2023-06 |
批准时间 | 2023-03-16 |
作用机制 | Florylpicoxamid是科迪华开发的第二代新型吡啶酰胺类杀菌剂,国际杀菌剂抗性行动委员会(FRAC)将Florylpicoxamid归类为Group 21。其主要作用于病原菌线粒体呼吸系统细胞色素bc1复合物的Qi位点,即Qi抑制剂(QiIs),抑制病原真菌的呼吸作用和能量合成。施用后,该杀菌剂迅速被植物组织吸收,并传导至植株全身 |
批准的制剂产品 | GF-3840 FUNGICIDE,100 g/L ZETIGO PRM FUNGICIDE,50 g/L |
新活性成分 5 – (Ipflufenoquin)
Ipflufenoquin是一种同时具有喹啉和苯丙醇作用机制的杀菌剂,其在加拿大登记用于防治梨果上的黑星病和白粉病。目前日本曹达株式会社也已获得了该有效成分也在日本、澳大利亚、美国的产品登记,但还未在我国完成登记。

IUPAC 名称 | 2-{2-[(7,8-difluoro-2-methylquinolin-3-yl)oxy]-6-fluorophenyl}propan-2-ol |
CAS No. | 1314008-27-9 |
申请公司 | NIPPON SODA COMPANY LTD |
PMRA注册决定号 | RD2023-07 |
批准时间 | 2023-03-16 |
作用机制 | Ipflufenoquin是一种新型的广谱杀菌剂,属于喹啉类杀菌剂。国际杀菌剂抗性行动委员会(FRAC)将Ipflufenoquin归类(Group 52),作用机理为二氢乳清酸脱氢酶(DHODH)抑制剂。 |
批准的制剂产品 | KINOPROL 20 SC,200 g/L |
新活性成分 6 - (氯氟吡啶酯Florpyrauxifen-benzy)
氯氟吡啶酯是是陶氏益农(现科迪华)开发的第2个芳基吡啶甲酸酯类除草剂。其作用机理独特,且除草谱广,对一年生和多年生阔叶杂草、入侵植物和灌木具有广谱和高效率的除草活性。目前科迪华也已获得了该有效成分也在中国、欧盟、澳大利亚、美国、巴西、土耳其、印尼等国家和地区的产品登记。

Florpyrauxifen-benzyl结构式
IUPAC 名称 | Benzyl 4-amino-3-chloro-6-(4-chloro-2-fluoro-3-methoxyphenyl)-5- fluoropyridine-2-carboxylate |
CAS No. | 1390661-72-9 |
申请公司 | CORTEVA AGRISCIENCE CANADA COMPANY |
PMRA注册决定号 | RD2023-08 |
批准时间 | 2023-05-15 |
作用机制 | 氯氟吡啶酯中含有新型芳基吡啶甲酸酯结构,为激素类除草剂。除草剂抗性行动委员会(HRAC)将其归类于Group 4)或“O”组(HRAC Group O)(Auxin Mimics)。与其他激素类除草剂作用方式类同,其通过与植物体内激素受体结合,干扰植物正常的生理生化功能,从而致敏感植物死亡。 |
批准的制剂产品 | MILESTONE NXT HERBICIDE,4.77% GF-3301 AQUATIC HERBICIDE,238.4 g/L RESTORE NXT HERBICIDE,6.36 g/L GF-3206 HERBICIDE,19.91 g/L PROCELLACOR FX HERBICIDE,238.4 g/L |
新活性成分 7 -(GS-omega/kappa-Hxtx-Hv1a)
活性成分GS-omega/kappa-Hxtx-Hv1a是从一种澳大利亚漏斗网蜘蛛(Hadronyche versuta)毒液中提取的肽,该活性成分影响昆虫的神经系统。和活性成分同时被PMRA批准的两款制剂SPEAR T 和SPEAR-LEP产品,登记用于控制田间和温室作物及大麻上的蓟马、粉虱、螨虫、斑翅果蝇以及鳞翅目害虫。该活性成分在美国EPA已批准近10年。
申请公司 | VESTARON CORPORATION |
PMRA注册决定号 | RD2023-10 |
批准时间 | 2023-05-26 |
作用机制 | 杀虫剂抗药性行动委员会(IRAC)指出GS-omega/kappa-Hxtx-Hv1a是一种烟碱乙酰胆碱受体(nAChR)变构调节剂。 |
批准的制剂产品 | SPEAR-LEP,2.00%(w/w) SPEAR T,2.00%(w/w) |
新活性成分 8 - (1-Aminocyclopropanecarboxylic acid)
1-Aminocyclopropanecarboxylic acid(ACC)是一种植物生长调节剂,ACC是植物组织中乙烯生产的前体,乙烯是植物信号通路重要的信号分子,影响植物如花发育,果实成熟和果实脱落等生长过程。

1-Aminocyclopropanecarboxylic acid 结构式
IUPAC 名称 | 1-aminocyclopropane-1-carboxylic acid |
CAS No. | 22059-21-8 |
申请公司 | VALENT BIOSCIENCES LLC. |
PMRA注册决定号 | RD2023-11 |
批准时间 | 2023-06-19 |
批准的制剂产品 | ACCEDE SG PLANT GROWTH REGULATOR,40.0 % VBC-30452 SG PLANT GROWTH REGULATOR,40.0 % |
瑞旭集团农化事业部将持续跟踪并更新农药活性物质在加拿大,EPA,欧盟,印度等的的批准状态,禁限用情况等信息,想了解更多海外登记资讯,赶快联系我们吧!!
杭州瑞旭科技集团有限公司
地址:杭州市滨江区秋溢路288号东冠高新科技园1号楼11层
电话:+86-0571-88233256
Email:agrochem@cirs-group.com
