农用化学品
瑞旭集团
工业化学品
日化品
食品
医疗器械
农用化学品
检测认证
可持续发展
Search

《官宣》克菌丹、灭菌丹和苯菌酮再获欧盟15年延续批准

本月初,欧盟委员会在官方公报上正式发布了克菌丹(Captan)、灭菌丹(Folpet)和苯菌酮(Metrafenone)三种活性物质的续展审批决定,宣布这三种活性物质再次获得为期15年的续期批准,有效期至2039年10月31日。

克菌丹再评审后的活性物质规格由原来的≥910g/kg提升至≥930g/kg;灭菌丹的活性物质规格保持不变,但对于相关杂质的限量进行了调整,PCMM的限量由原≤3.5g/kg下调至≤2g/kg,四氯化碳的限量由原≤4g/kg下调至≤2g/kg,并新增了克菌丹和二硫化碳两种杂质,限量分别为3g/kg和2.5g/kg;苯菌酮的活性物质规格由原来的≥940g/kg调整为≥980g/kg,新增相关杂质Dimethyl sulphate,其限量为0.01 g/kg。

苯菌酮Metrafenone

CAS No.:

220899-03-6

IUPAC Name:

3′-bromo-2,3,4,6′-tetramethoxy-2′,6-dimethylbenzophenone

原药规格:

≥ 980 g/kg

相关杂质限量:

Dimethyl sulphate ≤ 0.01 g/kg

克菌丹,灭菌丹,苯菌酮,欧盟,15年,延续,批准

结构式

苯菌酮是一种二苯酮类杀菌剂,主要作用于白粉病和眼斑,抑制菌丝生长、叶片渗透、吸器形成和孢子形成。在欧洲、美洲、亚洲和太平洋地区的50多个国家,已经批准在谷物、葡萄、草莓和水果蔬菜上使用苯菌酮。

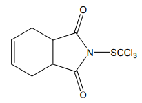
克菌丹Captan

CAS No.:

133-06-2

IUPAC Name:

N-(trichloromethylthio)cyclohex-4-ene-1,2-dicarboximide

原药规格:

≥ 930 g/kg

相关杂质限量:

全氯甲硫醇Perchloromethylmercaptan ≤ 5 g/kg;

灭菌丹Folpet ≤ 10 g/kg

四氯化碳Carbon tetrachloride ≤ 0.1 g/kg

克菌丹,灭菌丹,苯菌酮,欧盟,15年,延续,批准

结构式

克菌丹为广谱性保护杀菌剂,即可干扰病菌的呼吸过程,又能干扰病菌细胞分裂,对卵菌纲真菌、子囊菌真菌和半知菌等真菌引起的病害,均具有良好的防效,叶面喷雾或拌种均可,也能用于土壤处理,防治根部病害,广泛适用于小麦、玉米、马铃薯、番茄、辣椒、黄瓜、甜瓜、苹果、梨、柑橘、葡萄、草莓及蔷薇科观赏花卉等多种作物。

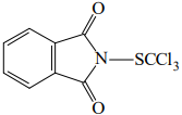
灭菌丹Folpet

CAS No.:

133-07-3

IUPAC Name:

N-(trichloramethylthio)phthalimide

原药规格:

≥ 940 g/kg

相关杂质限量:

Trichloro(chlorosulfanyl) methane) (PCMM) ≤ 2 g/kg;

四氯化碳Carbon tetrachloride ≤ 2 g/kg

克菌丹Captan ≤ 3 g/kg

二硫化碳Carbon disulphide ≤2.5 g/kg

克菌丹,灭菌丹,苯菌酮,欧盟,15年,延续,批准

结构式

灭菌丹是一种广谱保护性有机硫杀菌剂,其作用机制是影响丙酮酸的脱羧作用或者抑制a-酮戊二酸脱氢酶的活性,进而阻断三羧酸循环。灭菌丹对多种作物的叶斑病、霜霉病等病害有预防和保护效果,是主要作用于叶面保护的杀菌剂,可适用于瓜类、蔬菜、马铃薯、西红柿、豇豆等。

瑞旭集团农化事业部将持续跟踪并更新农药活性物质在加拿大,EPA,欧盟,印度等的批准状态,禁限用情况等信息,想了解更多海外登记资讯,赶快联系我们吧!!

杭州瑞旭科技集团有限公司
地址:杭州市滨江区秋溢路288号东冠高新科技园1号楼11层
电话:0571-88233256或010-63984032
Email:agrochem@cirs-group.com

扫描下方的二维码订阅“ 农化法规服务站 ”!提供农化行业最新的法规政策与行业资讯,深入解读专业的法规与登记技术,集萃行业大咖独家观点,最新一手资讯都在这里。

① 凡本网注明"稿件来源:“杭州瑞旭科技集团有限公司"的所有文字、图片和音视频稿件,版权均属杭州瑞旭科技集团有限公司所有,任何媒体、网站或个人未经本网协议授权不得转载、链接、转贴或以其他方式复制发表。已经本网协议授权的媒体、网站,在下载使用时必须注明"稿件来源:杭州瑞旭科技集团有限公司",违者本网将依法追究责任。
② 本网未注明"稿件来源:杭州瑞旭科技集团有限公司 "的文/图等稿件均为转载稿,本网转载出于传递更多信息之目的,并不意味着赞同其观点或证实其内容的真实性。如其他媒体、网站或个人从本网下载使用,必须保留本网注明的"稿件来源",并自负版权等法律责任。如擅自篡改为"稿件来源:杭州瑞旭科技集团有限公司",本网将依法追究责任。如对稿件内容有疑议,请及时与我们联系。
③ 如本网转载稿涉及版权等问题,请作者在两周内速来电或来函与杭州瑞旭科技集团有限公司联系。
联系我们
北京:010 63984032
上海:021 5077 8970
杭州:0571 88233256