
国家食品安全风险评估中心于2022年03月14日发布阿拉伯木聚糖新食品原料意见。征求意见截止日期:2022年04月14日。相关信息如下:
(一)阿拉伯木聚糖
中文名称 | 阿拉伯木聚糖 |
英文名称 | Arabinoxylan |
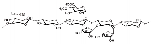
基本信息 | 结构式:阿拉伯木聚糖结构(片段)
CAS号:9040-27-1 |
生产工艺简述 | 以甘蔗渣、小麦麸皮、玉米皮等禾本植物为原料,经预处理、食用碱提取、脱碱浓缩、中和沉淀、洗涤净化、干燥等工艺制成。 |
推荐食用量 | ≤15克/天(以阿拉伯木聚糖含量85 g/100 g计,超过该含量的按照实际含量折算) |
其他需要说明的情况 | 1.婴幼儿、孕妇及哺乳期妇女不宜食用,标签、说明书应当标注不适宜人群。 2.质量规格和食品安全指标见附录。 |
(二)阿拉伯木聚糖新食品原料解读材料
阿拉伯木聚糖是以甘蔗渣、小麦麸皮、玉米皮等禾本植物为原料,经预处理、食用碱提取、脱碱浓缩、中和沉淀、洗涤净化、干燥等工艺制成的水不溶性多糖。该原料主要作为膳食纤维来源之一。美国食品药品监督管理局将阿拉伯木聚糖作为一种膳食纤维,含有该产品成分的产品已经在欧盟、加拿大等国家和地区被允许添加在食品或膳食补充剂中。本产品推荐食用量为≤15克/天(以阿拉伯木聚糖含量85 g/100 g计,超过该含量的按照实际含量折算)。
根据《食品安全法》和《新食品原料安全性审查管理办法》规定,国家卫生健康委员会委托审评机构依照法定程序,组织专家对阿拉伯木聚糖的安全性评估材料审查并通过。新食品原料生产和使用应当符合公告内容以及食品安全相关法规要求。鉴于阿拉伯木聚糖在婴幼儿、孕妇和哺乳期妇女人群中的食用安全性资料不足,从风险预防原则考虑,上述人群不宜食用,标签及说明书中应当标注不适宜人群。
该原料的食品安全指标按照公告规定执行。
参考网站:
相关推荐:
- CFSA公开征求β-葡聚糖酶等5种食品添加剂新品种意见
- CFSA公开征求磷脂酶A1等5种食品添加剂新品种意见
- CFSA公开征求莱茵衣藻新食品原料意见
- CFSA公开征求甘蔗提取物等2种新食品原料意见
- CFSA公开征求喹啉黄铝色淀等11种食品添加剂新品种意见
我们的服务:

