
国家食品安全风险评估中心于2020年09月03日对新食品原料透明质酸钠公开征求意见,征求意见截止日期:2020年10月03日。
- 透明质酸钠拟公告文本信息:
中文名称 | 透明质酸钠 | |
英文名称 | Sodium Hyaluronate | |
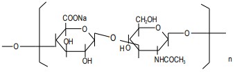
基本信息 | 来源:马链球菌兽疫亚种(Streptococus equi subsp.zooepidemicus) 结构式:
分子式:(C14H20NNaO11)n,n为200-10000 分子量:8.02×104 —4.01×106 | |
生产工艺简述 | 以葡萄糖、酵母粉、蛋白胨等为培养基,由马链球菌兽疫亚种经发酵生产而成。 | |
推荐食用量 | ≤200 毫克/天 | |
质量要求 | 性状 | 白色颗粒或粉末 |
透明质酸钠含量 | ≥87.0% | |
水分 | ≤10.0% | |
pH | 6.0-8.0 | |
灰分 | ≤13.0% | |
其他需要说明的情况 | 1、 使用范围包括乳及乳制品,饮料类,酒类,可可制品、巧克力和巧克力制品(包括代可可脂巧克力及制品)以及糖果,冷冻饮品,但不包括婴幼儿食品。 2、 食品安全指标须符合以下规定: 铅(Pb)/(mg/kg):≤0.5 砷(As)/(mg/kg):≤0.3 | |
- 透明质酸钠新食品原料解读材料:
透明质酸钠是以葡萄糖、酵母粉、蛋白胨等为培养基,由马链球菌兽疫亚种(Streptococus equi subsp.zooepidemicus)经发酵生产而成,是由 D-葡糖醛酸和 N-乙酰基-D-氨基葡萄糖双糖单位构成的糖胺聚糖的钠盐,是一种直链大分子多糖。
我国于 2008 年批准透明质酸钠为新资源食品,使用范围为保健食品原料。目前透明质酸钠以及以其为主要成分的产品在日本、韩国、美国、欧盟、澳大利亚、新西兰和巴西被允许添加在食品或膳食补充剂中。基于在其他国家和国际组织的批准使用情况,本产品申请扩大使用范围为乳及乳制品,饮料类,酒类,可可制品、巧克力和巧克力制品(包括代可可脂巧克力及制品)以及糖果,冷冻饮品,不包括婴幼儿食品。
根据《食品安全法》和《新食品原料安全性审查管理办法》,国家卫生健康委员会委托审评机构依照法定程序,组织专家对透明质酸钠的安全性评估材料审查并通过。新食品原料生产单位应当按照公告内容生产和使用,符合食品安全要求。
该原料的食品安全指标按照公告规定执行。
参考网站

