根据联邦杀虫剂、杀菌剂和灭鼠剂法案(FIFRA)规定,对于任何新活性成分的申请和批准,美国环境保护署(EPA)都需要向公众进行公示并接收公众30天的意见咨询。瑞旭集团农化事业部根据EPA在联邦公报上所披露的信息,整理并汇总了2023年被EPA批准及向EPA提交农药新活性物质申请的产品和申请人信息,快看看有没有你关注的活性成分吧。
EPA批准的农药新活性物质-3个
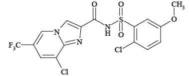
Pyraclonil | Fluazaindolizine | Ledprona | |
中文名称 | 双唑草腈 | 三氟咪啶酰胺 | / |
CAS No. | 158353-15-2 | 1254304-22-7 | 2433753-68-3 |
分子式 | C₁₅H₁₅ClN₆ | C₁₆H₁₀Cl₂F₃N₃O₄S | C4409H5398N1794O3208P460 (Sense) (Antisense) |
结构式 |
|
| NA |
EPA发布批准意见时间 | 2023年8月27日 | 2023年9月6日 | 2023年12月22日 |
产品登记含量 | 原药98.2%;制剂1.8% | 原药97.3%;制剂41.15% | NA |
类型 | 除草剂 | 杀线虫剂 | 生物杀虫剂 |
登记证持有人 | Nichino America, Inc. | Corteva Agriscience, LLC | GreenLight Biosciences, Inc. |
作用机制 | 双唑草腈是一种原卟啉原氧化酶(PPO)抑制剂,通过干扰植物细胞内叶绿素的合成,阻断植物光合作用和引发细胞内一系列破坏性氧化反应,最终导致植物细胞死亡,被美国杂草科学协会(WSSA)归为28类除草剂。 | Fluazaindolizine 是一种磺胺类杀线虫剂,它对植物寄生性线虫的作用方式未知,但与其他商业化的杀线虫剂有所不同,可能是一种新作用机制的杀线虫剂。 | Ledprona是一种双链核糖核酸(dsRNA),它通过一种RNA干扰过程,阻止科罗拉多甲虫(Leptinotarsa decemlineata)产生特定的蛋白质,从而达到杀虫效果。 |
用途 | 目前,双唑草腈仅批准用于加州水稻田中的杂草如禾草、莎草和阔叶杂草的萌发前后的早期防治。用于通过与其他类型除草剂轮换使用,以减少同类除草剂使用带来的抗性问题。 | Fluazaindolizine可用于防治根结线虫和其他重要的线虫种类。可应用于胡萝卜、葫芦科蔬菜、果实蔬菜、非结果期的柑橘类水果、核果类水果、坚果类水果、小果藤本植物、以及块茎和球茎类等蔬菜上。 | Ledprona旨在控制马铃薯上的科罗拉多马铃薯甲虫(CPB;Leptinotarsa decemlineata)。其配方的产品经叶面喷施,甲虫摄入经处理的植物后被杀死。 |
EPA收到的农药新活性物质申请-29个
新有效成分申请以生物/生物化学农药为主要,产品类型包含杀菌剂、杀虫剂、除草剂、杀线虫剂、杀螨剂、植物生长调节剂、保护剂以及抗菌剂,申请信息详见下表。
序 | 活性物质名称 | 申请类型 | 申请公司名称 | EPA发布接收时间 |
1 | Rhizobium radiobacter strain K1026–AUS | 微生物杀菌剂 | AgBioChem, Inc | 2023.12.19 |
2 | Vadescana dsRNA | 杀螨剂 | GreenLight Biosciences, Inc | 2023.12.19 |
3 | GA20ox_SUP miRNA | 植物源保护剂 | Bayer Crop Science | 2023.11.30 |
4 | Wolbachia pipientis w AlbB strain contained in live adult Aedes aegypti males | 生化杀虫剂 | Verily Life Sciences | 2023.11.28 |
5 | L-Glufosinate-ammonium | 除草剂 | BASF Corporation Agricultural Solutions/ UPL NA, Inc. | 2023.11.28 |
6 | Ascophyllum nodosum concentrated extract | 植物生长调节剂 | UPL NA | 2023.09.12 |
7 | Spiropidion | 杀虫剂 | Syngenta Crop Protection, LLC | 2023.06.26 |
8 | Fluoxapiprolin | 杀菌剂 | Bayer CropScience | 2023.06.26 |
9 | Epyrifenacil | 除草剂 | Valent U.S.A. LLC | 2023.06.26 |
10 | Beauveria bassiana strain BW149 | 杀虫剂/杀螨剂 | BioWorks, Inc. | 2023.06.26 |
11 | Trichoderma atroviride AT10 | 杀菌剂 | Agrotecnologías Naturales | 2023.06.26 |
12 | Pepino mosaic virus, strain LP, isolate VX11 and Pepino mosaic virus, strain CH2, isolate VC1 | 杀病毒剂 | Valto | 2023.06.12 |
13 | Pseudomonas coleopterorum strain 49762 | 杀菌剂 | Lavie-Bio | 2023.06.12 |
14 | Extracts of noni fruit and noni leaves (Morinda citrifolia) | 杀菌剂/杀虫剂 | Agri-Organic | 2023.04.25 |
15 | COS–OGA | 杀菌剂/杀虫剂/植物生长调节剂 | FytoFend | 2023.04.25 |
16 | Trifludimoxazin | 除草剂 | BASF | 2023.03.27 |
17 | Sodium Cyanate | 除草剂 | Drexel Chemical | 2023.03.27 |
18 | Bacillus licheniformis strain 414-01 | 杀虫剂/杀线虫剂 | UPL NA | 2023.03.27 |
19 | Gluconobacter cerinus strain BC18B and Hanseniaspora uvarum strain BC18Y | 杀菌剂/杀线虫剂 | Danisco US | 2023.03.27 |
20 | Bacillus velenzensis strain 11604 | 杀菌剂 | Bio Consortia | 2023.03.27 |
21 | Cevadine Mixture with Veratridine | 杀虫剂 | McLaughlin Gormley King | 2023.02.23 |
22 | Ferrous sulfate heptahydrate | 除草剂 | JR Simplot | 2023.02.23 |
23 | Bacillus thuringiensis苏云金杆菌Cry1B.34 protein and the genetic material necessary (PHP79620 T-DNA) for its production in corn event DP‐91Ø521-2 | 杀虫剂 | Pioneer Hi-Bred | 2023.02.23 |
24 | Bacillus thuringiensis 苏云金杆菌Cry1Da2 protein and the genetic material necessary (PHP88492 T-DNA) for its production in corn event DAS-Ø1131-3 | 杀虫剂 | Pioneer Hi-Bred | 2023.02.23 |
25 | Aspergillus flavus 黄曲霉 strains TC16F, TC35C, TC38B, and TC46G | 杀菌剂 | Texas Corn Producers | 2023.02.23 |
26 | Styrene divinylbenzene and ethylstyrene copolymer, chloromethyl trimethylamine functionalized in the tribromide form (Reliox resin) | 抗菌剂 | Reliox | 2023.02.23 |
27 | Spidoxamat | 杀虫剂 | Bayer Crop Science | 2023.01.04 |
28 | Ophioglossum pendulum IPD079Ea insecticidal protein and the genetic material necessary (PHP83175 TDNA) for its production in corn event DP‐915635-4 | 杀虫剂 | Pioneer HiBred | 2023.01.04 |
29 | Sweet orange oil | 杀菌剂/杀虫剂/ 杀螨剂 | Oro-Agri | 2023.01.04 |
瑞旭集团农化事业部将持续跟踪并更新农药活性物质在加拿大,EPA,欧盟,印度等的的批准状态,禁限用情况等信息,想了解更多海外登记资讯,赶快联系我们吧!!
杭州瑞旭科技集团有限公司
地址:杭州市滨江区秋溢路288号东冠高新科技园1号楼11层
电话:+86-0571-88233256
Email:info@cirs-group.com


